▣ 송전선에 전류가 흐르면 송전선의 고유저항에 의하여 열이 발생하게 되고
이 열은 전력손실이 된다. 송전선에 흐르는 전류를 방해하는 성분인 임피던스는
저항과 인덕턴스 성분으로 구성되는데 전력손실은 저항에서만 발생한다.

전선 한 가닥에 흐르는 전력의 손실은 Pl = I2R 인데 3상 전력 손실은 전선이 3가닥이므로
전력손실은 Pl = 3 I2 R이 된다.

송전선의 전력손실의 산정할 때는 위 기본식을 변형하여 사용한다.
전력손실을 산정하는 식은 다음과 같이 변형하여 사용할 수 있다.

※ 전력공학에서는 각각의 전력요소별 단위가 중요하다.
전력산정식에서 사용되는 요소별 단위는 다음과 같다.

1. 전압관계식
▣ 전압관계식은 다음 식에서 유도된다.



※ 승압시 교체하지 않아도 되는 것은 ? 옥내배선의 전선
2. 경제적인 송전 전압
▣ 송전전력의 크기와 송전거리가 정해지면 송전전압을 어떤 값을 선정하는 것이 가장
경제적인지 살펴 보아야 한다.
일반적으로 전압을 높여 주면 경제적인 측면에서는 다음과 같은 경향을 보인다.
① 전선의 굵기를 작게 할 수 있어 전선비가 낮아진다.
② 절연내력을 높여야 하기 때문에 애자 및 각종 기기의 가격이 높아진다.
③ 지지물에 대하여 전선 상호간의 거리를 크게 해야 하기 때문에 더 높고 큰 철탑이
소요되므로 지지물 가격이 비싸진다.
④ 전력손실은 전압의 제곱에 비례하여 감소한다.
⑤ 운전유지비는 전압과 비례하여 증가한다.
【 경제적인 송전전압】
▣ Still 식 : 가장 경제적인 송전전압 산정식

【 송전전력과 송전전압 관련 기출문제 】
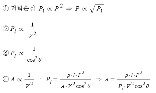
1. 전선단면적은 A ∝ 1/V2 한다. (전압의 제곱에 반비례한다)
2. 전선의 굴기는 A ∝ 1/V2 한다. (전압의 제곱에 반비례한다)
3. 저항 손실은 Pl = I2·R이다. 손실과 전압의 관계는 ?
▣ 저항손실은 Pl ∝ 1/V2 한다. (전압의 제곱에 반비례한다)
4. 전력손실을 2배로 하면 전력은 몇 [%] 증가시킬 수 있나?
① 전력손실 2배로 하기 전의 전력을 P 라고 하면

5. 154[kV]를 345[kV]로 승압하는 경우 같은 손실율로 송전할 경우 송전전력은 승압전
송전전력의 몇 배로 증가시킬 수 있나 ?
P ∝ V2 ∝ (345/154)2 = 5 배
6. 송전선로의 전압을 2배로 승압할 경우 동일 조건에서 공급전력을 동일하게 취하면
전력 손실은 몇배가 되는가 ?
Pl ∝ 1/V2 ∝ (1/2)2 = 1/4배
7. 부하전력 및 역률이 같을 때 전압을 n배 승압한 경우 전압강하와 전력손실은 ?
e ∝ 1/V, Pl ∝ 1/V2 e ∝ 1/n Pl ∝ 1/n2
8. 부하역률이 cosΘ 일 때 저항손실 Pl은 같은 크기의 부하전력이고 역률이 1일 때
전력손실은 몇배가 되는가 ?
cosΘ ⇒ Pl ∝ 1/cos2Θ
cosΘ =1 ⇒ Pl ∝ 1/12 ∴ 1/cos2Θ
9. 부하역률이 0.8인 선로의 저항손실은
부하역률이 0.9인 선로저항 손실의 몇배인가 ?
cosΘ ⇒ Pl ∝ 1/cos2Θ
∴ 1/0.82 ÷ 1/0.92 = 1.27배
10. 부하역률 0.8을 부하역률 0.95로 개선했을 때 선로 손실은 약 몇[%] 정도
경감되는가 ?

11. 가장 경제적인 송전전압 산정식은 ? Still 식

'전기인이 되는 길 > 전력공학' 카테고리의 다른 글
| 중거리 송전선로 관련 문제 풀이 (0) | 2021.09.01 |
|---|---|
| 중거리 송전선로와 선로정수 (0) | 2021.08.31 |
| 송전단 전압과 전압강하 근사식, 송전전압과 송전전력의 관계 (전력손실) (0) | 2021.08.31 |
| 송전선에서 복도체 방식의 특징 (0) | 2021.08.31 |
| 코로나 현상과 임계전압 (0) | 2021.08.31 |
