반응형
1. 블록선도
▣ #자동제어계 의 각 요소를 볼록으로 나타내어 입출력 신호 사이의 관계를 나타내는 계통도
가. 블록선도의 구성
① 전달요소 : 입력신호를 받아 적당히 변환된 #출력신호 를 만드는 신호 전달용소
② 화살표 : 신호의 흐름 방향을 표시하는 요소
③ 가산점 : 두가지 이상의 신호가 있을 때 이들 신호의 합과 차를 만드는 요소
④ 인출점 : 하나의 신호 R(s)를 2개 이상의 요소에 동시에 가하는데 쓰이는 신호분기요소
2. 전달함수
▣ #선형특성 을 갖는 대상의 입력과 출력 사이의 관계를 나타내는 함수
▣ 모든 초기값을 0으로 가정했을 때, 출력신호의 #라플라스 변환과 입력신호의 라플라스 변환의 비
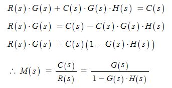
가. 표준 Feedback 회로의 전달함수

▣ 이를 수식으로 나타내면 다음과 같다.

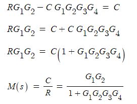
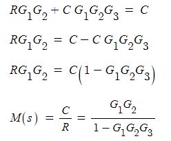
나. 폐루프 전달함수

【출제 예상 문제】
1. 다음 블록선도의 전달함수는 ? ③

[보기]

[해설] 전달함수

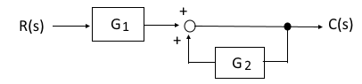
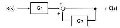
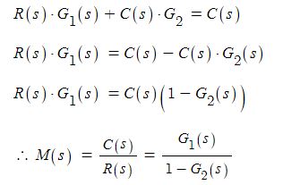
2. 다음 블록선도에서 전달함수 C/R 는 ?

① G1 / G2 ② G1+G2 ③ G1 · G2 ④ G1-G2
[해설] 전달함수
RG1+RG2 = C, R(G1+G2) = C, 전달함수 C/R = G1+G2
3. 다음 블록선도의 입출력비는 ? ③

[보기]

[해설] 폐루프 전달함수

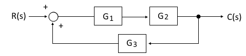
4. 그림의 #블록선도 에서 C/R를 구하면 ? ②

[보기]

[해설] 폐루프 전달함수

5. 그림과 같은 #피드백 제어의 종합전달함수는 ? ④

[보기]

반응형
'소방설비기사 (전기) > 소방전기일반' 카테고리의 다른 글
| 논리회로와 부울대수, 드모르간의 정리 (0) | 2023.02.25 |
|---|---|
| 시퀀스 제어회로의 일반 개념 (0) | 2023.02.25 |
| 자동제어 (비례제어, 미분제어, 적분제어) (0) | 2023.02.23 |
| 과도 현상과 시정수 (τ) (0) | 2023.02.22 |
| 비정현파 교류 및 비정현파 교류 전력 (0) | 2023.02.22 |

