▣ #과도현상 이란, 전기회로에서 순간적인 스위치의 개폐, 또는 회로소자가 순간적으로 변화하는 경우에는 에너지의
축적이 이루어져 회로상태의 변화에 전압, 전류 등의 에너지가 곧 적응하지 못하므로 정상상태에 이르는 시간동안
여러 가지 복잡한 변화를 하게 된다. 이와 같이 어느 정상상태로 부터 다른 정상상태로 이행하기 까지의 기간을
과도기라고 하며, 이 과도기 동안에 나타나는 전기회로의 특이한 현상을 과도현상이라 한다.
▣ 과도현상이란 특정 상태에서 다른 상태로 변화하는 과정을 말한다.
▣ 회로이론에서 과도현상이란 시간 t = 0을 기준으로 하여 t = 0 에서 어떤 현상의 변화가 나타난 후 정상상태(최종상태)가
나타나기 이전에 전압과 전류를 변화상태를 말한다.
▣ 과도현상을 이해하기 위해서는 먼저 소자의 특성을 알아야 한다.
◈ 저항 "R" : 저항은 에너지를 소비한다.
◈ 인덕턴스 "L" : 인덕턴스 "L"은 전류를 자속의 형태로 변화시켜 에너지를 저장한다.
에너지의 저장은 한번에 이루어지지 않고 시간을 갖고 연속적으로 서서히 이루어진다.
⊙ 직류일 때 리액턴스 : XL = ωL = 2πfL = 0 ⇒ 단락상태 ∵ 직류일 때 f = 0
⊙ 전류 연속
◈ 커페시턴스 "C" : 커패시턴스 "C"는 전압을 전하의 형태로 에너지를 저항한다.
이것도 에너지를 한순간에 저장하지 않고 서서히 연속적으로 저장한다.
⊙ 직류일 때 커패시턴스 : XC = 1/ωC = 1/2πfC = ∞ ⇒ 개방상태 ∵ 직류일 때 f = 0
⊙ 전압 연속
1. 직류 R - L 직렬 회로
가. 스위치를 닫을 때
▣ 직류 R - L 직렬 회로의 과도기를 상세하게 분석하여 보자.

【 전압의 변화을 살펴 보면 】
▣ "L"에 발생하는 전압 VL은 처음에는 "L"은 개방상태와 마찬가지 이므로 리액턴스가 "∞"이므로 모든 전압이 "L"에
걸렸다가 점점 전압이 낮아져서 단락상태가 되면 리액턴스가 "0"이 되므로 전압은 "0"이 된다.
▣ 저항 "R"에 발생하는 전압 VR은 처음에는 전압이 모두 "L"에 발생하므로 전압이 발생하지 않다가 최종적으로
"L"이 단락상태가 되면 모든 전압이 저항 "R"에 발생하게 된다.
【 기전력 인가시 전류 특성 】

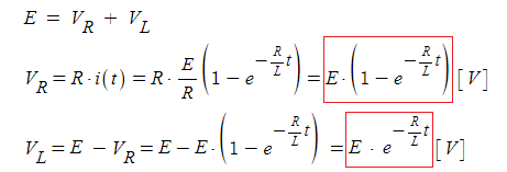
▣ 키르히호프의 전압법칙에 따라 기전력 "E"는 "L"의 전압 VL과 R의 전압 VR의 합과 같다.
※ 위 식은 전류(i)의 특성을 파악하기 위하여 전압을 전류 i(t)의 식을 표현한 것이다.

나. 직류 R - L 직렬 회로 시정수
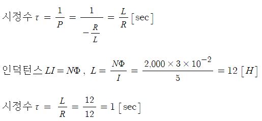
▣ 시정수 : 정상값의 63.2[%]에 도달하는 시간으로 기호로는 τ 를 쓴다.
◈ 시정수 τ = L / R [sec] ⇒ e-1 = 0.632
◈ 시정수가 크면 클 수록 과도현상이 오래 지속된다.

【 전압의 변화 】
▣ 기전력은 E = VR + VL 이다. (키르히호프의 전압법칙)

다. 스위치를 열을 때
▣ 기전력은 E = VR + VL 이다. (키르히호프의 전압법칙)

다. 직류 R - L 직렬 회로, 기전력을 제거했을 때
▣ 전류 i(t)의 변화를 알아 보자.
▣ K값을 구하기 위해 초기값을 즉 i(t) = E / R를 이용하여 K값을 구해 보자.

이를 그래프로 나타내면 다음과 같다.

▣ 직류 R-L 직렬회로를 정리하면 다음과 같다.

2. 직류 R - C 직렬회로
▣ 직류 R-C 직렬 회로에서 과도현상에 대하여 알아 보자. 이 때 "C"는 배터리로 생각하면과도현상을 이해하는데
도움이 된다.
▣ 직류 R-C 직렬 회로에서 전류 I의 흐름은 다음 그림과 같다.

◈ 스위치를 ON 하면 처음에는 기전력과 콘덴서의 전압차이 만큼 전류가 흐르다가 점차 전압차가 줄어 들어 콘덴서가
완전 충전되면 전압차가 같아지고 전류가 흐르지 않는다.
가. #기전력 을 인가했을 때
▣ 전류에 대하여 알아 보자.

▣ 전압에 대하여 알아 보자.

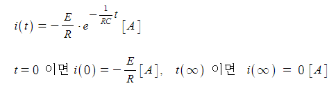
나. 기전력을 제거했을 때

▣ 기전력을 제거하면 #콘덴서 에 충전되어 있는 전하가 방전을 하게 되어 당초 기전력을 인가했을 때와 반대 방향으로
전류가 흐르게 되며 저항 R에서 에너지를 전부 소모할 때 까지 전류가 흐르며 최종에는 전류가 흐르지 않는다.
◈ 수식으로 보면 다음과 같다.

▣ 전압의 변화를 보면 다음과 같다.

▣ 제동의 종류와 조건식에 대해 알아 보자.

◈ 제동 조건의 변형식을 알아 보자.


【 출제 예상 문제 】
1. 저항 R과 인덕턴스 L의 직렬 회로에서 시정수 τ 는 ? ③
① RL ② R/L ③ L/R ④ L/Z
[해설] R-L 직렬회로의 시정수 : 시정수는 #특성근 의 역수이다.

2. 저항 R1, R2와 인덕턴스 L의 직렬회로가 있다. 이 회로의 시정수는 ? ④

[해설] R-L 직렬회로의 시정수

3. R-L 직렬회로에서 시정수의 값이 클수록 #과도현상 이 소멸되는 시간은 어떻게 되는가 ? ②
① 짧아진다. ② 길어진다. ③ 과도기가 없어진다. ④ 관계없다.
[해설] R-L 직렬회로 #전류

5. 다음 ( )안에 들어 갈 내용으로 알맞은 것은 ? ③
|
어떤 제어계에 입력신호를 가한 후 응답을 볼 때 정상상태 시간을 기준하여 그 전의 응답을 ( ㉠ ) 응답이라고 하고 그 후의 응답을 ( ㉡ ) 응답으로 구분한다.
|
'소방설비기사 (전기) > 소방전기일반' 카테고리의 다른 글
| 블록선도와 전달함수 : 자동제어계 (0) | 2023.02.24 |
|---|---|
| 자동제어 (비례제어, 미분제어, 적분제어) (0) | 2023.02.23 |
| 비정현파 교류 및 비정현파 교류 전력 (0) | 2023.02.22 |
| 영상 임피던스와 분포정수회로 : 출제 예상 문제 (2) | 2023.02.21 |
| 영상 임피던스와 분포정수회로 (2) | 2023.02.20 |


