
[종합구성]

▣ 비정현파 = 직류분 + 기본파 + 고조파

2. 비정현파의 푸리에 급수에 의한 전개
▣ 무수히 많은 주파수 성분을 갖는 비정현파가 일정한 주기 T = 2π / ω 로 같은 파형을 반복하는 경우
이를 무수히 많은 삼각함수의 집합으로 표현하기 위한 급수식을 말하며 비정현파 교류의 해석에 이용한다.
▣ #푸리에 급수 : 비정현파를 무수히 많은 주파수 성분의 #삼각함수 로 분해하여 표현
⊙ f(t) = Vm sin ωt [V]

나. 왜형률
▣ 왜형률은 파형의 일그러진 정도, 즉 비정현파에서 기본파에 대한 고조파 성분의 함유 정도를 표현한다.
▣ #왜형율 은 파형이 기본파에 비해 얼마나 왜곡되어 있는지를 나타내는 척도다.

다. 유효전력 (소비전력)
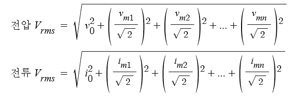
▣ #유효전력 은 부하에서 유효하게 소비되는 전력을 말하며 비정현파 전력에서는 #피상전력 과 유#효전력 을 구하며
이를 이용하여 역률까지 구한다.
① 피상전력 (Pa)
▣ 피상전력 = 유효전압 × 유효 전류 로 구한다.
Pa = Vrms × Irms
② 유효전력 (소비전력)
▣ 유효전력 = 유효 전압 × 유효 전류 × cos θ 로 구하며 이 때 유효전압과 유효전류는 직류분, 기본파, 고조파의
각 성분끼리 곱한 값의 합으로 구하고, θ는 전압과 전류의 위상차를 말한다.
⊙ 유효전력 P = Vo × Io + V1 × I1 × cos θ1 + V2 × I2 × cos θ2 +...+Vn × In × cos θn
③ 역률 (cosθ)
▣ 역률(cos θ)은 전원에서 공급된 피상전력 대비 부하에서 유효하게 소비된 전력의 비율을 말한다.
⊙ #역률 (cos θ) = 유효전력 / 피상전력 = P / Pa
4. #파형률 과 #파고율

5. 각 파형별 정리

【 출제 예상 문제 】
1. 반파 정류 정현파의 최대값이 1일 때, 실효값과 평균값 은 ? ④

2. 교류의 파고율은 ? ②
① 실효값 / 평균값 ② 최대값 / 실효값 ③ 최대값 / 평균값 ④ 실효값/최대값
[해설] 파고율 = 최대값 / 실효값, 파형률 = 실효값 / 평균값
3. 비사인파의 일반적인 구성이 아닌 것은 ? ③
① 직류분 ② 기본파 ③ 삼각파 ④ 고조파
[해설] 비사인파의 구성요소 : 직류분, 기본파, 고조파
4. 정현파의 파고율은 얼마인가 ? ②
① 1 ② √2 ③ √3 ④ 2
[해설] 파고율과 파형률


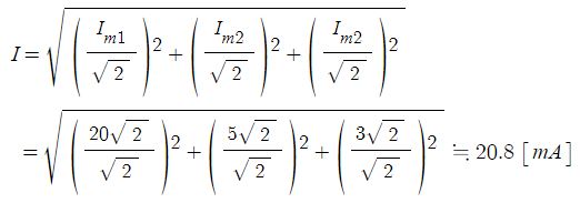
① 20.8[mA] ② 28.1[mA] ③ 29.5[mA] ④ 39.6[mA]
[해설] 비정현파 전류의 실효값

6. 삼각파의 최대치가 1일 때 ⓐ 실효치와 ⓑ 평균치는 ? ④

[해설] 최대값, 실효값, 평균값

7. 필터가 없는 단상 브리지 정류회로에서 2차측 평균 직류전압이 저항 5[Ω]의 부하에 접속 되어 24 [V]가 공급된다.
입력전압의 최대값은 몇 [V]인가 ? ②
① 5 π ② 12 π ③ 24 π ④ 32 π
[해설] 최대값 · 실효값 · 평균값
단상브리지 정류회로는 전파정류파이므로

8. 다음중 파고율이 2가 되는 파형은 ? ①
① 반파정류파 ② 톱니파 ③ 전파정류파 ④ 정현파
[해설] 파고율

'소방설비기사 (전기) > 소방전기일반' 카테고리의 다른 글
| 자동제어 (비례제어, 미분제어, 적분제어) (0) | 2023.02.23 |
|---|---|
| 과도 현상과 시정수 (τ) (0) | 2023.02.22 |
| 영상 임피던스와 분포정수회로 : 출제 예상 문제 (2) | 2023.02.21 |
| 영상 임피던스와 분포정수회로 (2) | 2023.02.20 |
| 단자망, 정·역회로, 영점과 극점, 4단자 파라미터.. (0) | 2023.02.20 |


