
1. 화재의 정의
▣ 화재(火災)는 불에 의한 재난을 말한다. 인간의 의도에 반하여 혹은 방화에 의해 발생 또는 확대된 연소현상으로
소화설비를 이용하여 소화할 필요가 있는 연소현상, 화학적 폭발을 의미한다.
① 자연 또는 인위적인 원인에 의하여 불이 물체를 연소시키고, 인명과 재산의 손해를 주는 현상
② 불이 그 사용 목적을 넘어 다른 곳으로 연소하여 사람들에게 예기치 않은 경제적 손해를 발생시키는 현상
③ 사람의 의도에 반(反)하여 출화 또는 방화에 의하여 불이 발생하고 확대되는 현상
④ 불을 사용하는 사람의 부주의와 불안정한 상태에서 발생되는 것
⑤ 실화, 방화로 발생하는 연소현상을 말하며 사람에게 유익하지 못한 해로운 불
⑥ 사람의 의사에 반한, 즉 대부분의 사람이 원치 않는 상태의 불
⑦ 소화의 필요성이 있는 불
⑧ 소화에 효과가 있는 어떤 물건 (소화시설)을 사용할 필요가 있다고 판단되는 불
2. 화재의 원인
▣ 화재의 발생 원인으로는 크게 실화와 방화로 나뉜다.
⊙ 실화의 경우는 사람의 부주의나 실수 또는 관리 소홀로 말미암아 발생하는 화재를 말하고, 고의성이 전혀 없는
상태에서 발생하는 화재를 말한다.
⊙ 방화의 경우는 사람이 고의로 불을 질러 건조물이나 기타 물건을 소훼하는 행위 또는 그 자체의 화재를 말한다.
3. 화재의 발생현황
① 부주의 요인 > 전기적 요인 > 기계적 요인 > 기타 요인
② 원인별 : 전기 > 담배 > 방화 > 불장난
③ 장소별 : 주택 > 차량 > 공장 > 식당
④ 계절별 : 겨울 > 봄 > 가을 > 여름
4. 화재의 특성
① 우발성 : 화재가 돌발적으로 발생
② 확대성
③ 불안정성
④ 비저형성
5. 화재의 분류 ★
|
화재 종류
|
표시색
|
적응물질
|
|
일반화재 (A급)
|
백색
|
목재, 고무, 섬유, 종이
|
|
유류 및 가스화재 (B급)
|
황색
|
등유, 가솔린, 에틸알코올, LPG
|
|
전기화재 (C급)
|
청색
|
과전류, 지락, 단락
|
|
금속화재 (D급)
|
무색
|
철분, 마그네슘, 금속분
|
6. 화재의 형태
가. 확산화염
▣ 자연화재의 대부분이 확산화염의 형태를 가진다.
<참고> 그레이엄의 확산속도의 법칙 [Graham's law]
▣ 영국의 화학자 그레이엄이 발표한 기체 확산에 관한 법칙으로, 같은 온도와 압력에서 두 기체의 확산 속도의 비는
두 기체의 분자량의 제곱근에 비례한다는 법칙이다.
같은 온도와 압력에서 두 기체의 확산 속도의 비는 두 기체의 분자량의 제곱근에 비례한다는 법칙이다.

▣ 같은 온도에서 기체 분자의 운동에너지는 일정하다. 그래서 가벼운 분자는 빨리 움직이고 무거운 분자는 느리게
운동하게 된다. 또 온도가 같으면 그들의 평균 분자 운동에너지도 같게 된다.

나. 자연발화
① 정의 : 물질이 공기중에서 발화점 보다 높은 온도에서 스스로 발열하는 것으로 산화, 분해, 흡착, 증합, 발효 등에
의해 열이 장기간 축적되어 별도의 발화원 없이 발화점에 도달하여 스스로 연소하는 현상을 말한다.
【 정의 】 외부에서의 인위적인 에너지 공급이 없이 물질 스스로 서서히 산화되면서 열을 축적하여 온도가 발화점에
이르게 되면 스스로 발화하는 현상
※ 산화열의 축적 : 에너지의 축적
② 자연발화 조건 (열축적이 원인) ★
◈ 열축적 원인 : 산화열, 분해열, 흡착열, 증합열, 발효열에 의한 발열
◈ 자연발화하기 쉬운 조건
㉠ 발열량이 클수록 열축적이 용이하다.
㉡ 열전도율이 작아야 열축적이 용이하다.
㉢ 주위의 온도가 높을 수록 자연발화 가능성이 크다.
㉣ 표면이 넓을 수록 산소와의 접촉 면적이 넓어 자연발화 가능성이 크다.
㉤ 습도가 높을 수록 자연발화 가능성이 크다. (가연물의 열발산이 안되고 축적이 된다)
㉥ 공기유통이 적을 수록 자연발화 가능성이 크다.
③ 자연발화 방지법 (열축적 방지)
㉠ 습도가 높은 곳을 피할 것 (건조하게 유지할 것)
㉡ 저장실의 온도를 낮출 것 (주위 온도를 낮게 유지)
㉢ 통풍이 잘 되게 할 것
㉣ 퇴적 및 수납시 열이 쌓이지 않게 할 것 (열의 축적 방지)
㉤ 열전도율을 좋게 할 것
㉥ 용기파손에 주의할 것
㉦ 촉매역할을 하는 물질과 접촉을 피할 것
④ 자연발화의 형태
㉠ 산화열 : 물질이 산소와 화합하여 반응하는 과정에서 생기는 열
예) 건성유 및 반건성유, 원면, 석탄, 금속분, 고무분말, 기름걸레(기름종이) 등
㉡ 분해열 : 아세틸렌, 에틸렌, 산화에틸렌, 셀룰로이드, 니트로셀룰로오스
㉢ 흡착열 : 활성탄, 목탄, 유연탄
㉣ 증합열 : 아크릴로니트릴, 스티랜, 초산비닐
㉤ 발효열 : 곡물, 건초, 먼지, 퇴비
【 자연발화의 우려가 있는 물질 】
▣ 발화점이 낮은 물질 (예 : 황린)
▣ 공기 중 습기와 반응을 잘하는 물질 (예 : 칼륨, 나트륨)
▣ 공기중 산소와 반응을 잘하는 물질 (예 : 불포화도가 큰 동 · 식물성 기름)
※ 석유류는 자연적인 조건에서 산소와 반응하지 않기 때문에 자연발화 우려가 없다.
※ 해,동,아, 들, 정 : 해바리기, 동백, 아마인류, 들, 정어리 기름
다. 준자연발화
▣ 가연물이 공기 또는 물과 접촉시 급격하게 자연발화하는 것을 준자연발화라고 함
⊙ 알킬알루미늄(액체 위험물) : 공기와 만나도 물기와 만나도 바로 불이 붙음
라. 혼합발화 : 함께 운반하면 안되는 위험물
⊙ 1류, 6류 위험물 : 산소 공급원
⊙ 1 ~ 5류 위험물 : 가연물
※ 4 2 3, 5 2 4, 6 1
※ 1/10, 10% 이내에서는 혼재 가능하다.
라. 훈소 (Ex : 담배)
① 착화에너지가 충분하지 않아 가연물이 발화하지 못하고 다량의 연기가 발생되는 연소형태
② 불꽃없이 연기만 내면서 타다가 어느 정도 시간이 경과 후 발열될 때의 연소상태
마. 예혼합 연소
▣ 가연성 기체 등이 공기 중의 산소와 연소범위를 형성한 상태에서의 연소(폭발)이다.
7. 건축물의 소실 정도에 따른 화재 형태
가. 전소화재 : 건축물에 화재가 발생하여 건축물의 70[%] 이상이 소실된 상태
나. 반소화재 : 건축물에 화재가 발생하여 건축물의 30~70 미만이 소실된 상태
다. 부분소화재 : 전소화재, 반소화재에 해당하지 않는 것
8. 열과 화상
가. 1도 화상 : 화상의 부위가 분홍색으로 되고, 가벼운 부음과 통증을 수반하는 현상
나. 2도 화상 : 화상의 부위가 분홍색으로 되고, 분비액이 많이 분비되는 현상. 피부에 물집이 생기는 정도
다. 3도 화상 : 화상의 부위가 벗겨지고, 검게 되는 현상
라. 4도 화상 : 전기화재에서 입은 화상으로서 피부가 탄화되고, 뼈까지 도달되는 화상
9. 건축물의 화재하중
▣ 화재하중은 화재실 또는 건물 안에 포함된 모든 가연성 물질의 완전연소에 따른 전체 발열량이다. 단위 면적당
가연성 물질의 발열량은 화재하중 밀도(Fire Load Energy Density)로 정의되나 일반적으로 화재하중 하면 화재하중
밀도를 말한다.
▣ 화재하중에서 발열량은 목재의 발열량으로 환산한다. 건축물에 다양한 가연물질이 있고 이들은 발열량이 각각
발열량이 다르기 때문에 동일한 발열량을 가진 목재의 중량값을 화재하중을 계산할 때 표준값으로 사용한다.
▣ 화재의 규모를 판단하는 척도로서 방화지역에 있는 모든 가연성 물질의 완전연소에 의해 발생되는 방화지역의
단위면적당 열량이다.
가. 화재 #가혹도
▣ 화재가 건축물 및 내부 수용재산 등을 파괴하거나 손상을 입히는 정도를 나타내며 그 수치가 클수록 화재손실은
커진다.
▣ 화재시 최고온도와 지속시간은 화재의 규모를 판단하는 중요한 요소이다.
⊙ 화재 가혹도 = 최고온도 × 지속시간
나. 화재하중 산정 및 의미

① 가연물 등의 연소시 건축물의 붕괴 등을 고려하여 설계하는 하중
② 화재실 또는 화재구획의 단위면적당 가연물의 양
③ 일반건축물에서 가연성의 건축구조재와 가연성 수용물의 양으로서 건물화재시 발열량 및 화재위험성을
나타내는 용어
④ 건물화재에서 #가열온도 의 정도를 의미한다.
⑤ 건물의 내화설계시 고려되어야 할 사항이다.
⑥ 단위면적당 건물의 #가연성 구조를 포함한 양으로 정한다.
【 출제 예상 문제 】
1. 화재에 대한 설명으로 옳지 않은 것은 ? ①
① 인간이 제어하여 인류의 문화, 문명의 발달을 가져오게 한 근본적인 존재를 말한다.
② 불을 사용하는 사람의 부주의와 불안정한 상태에서 발생되는 것을 말한다.
③ 불로 인하여 사람의 신체, 생명 및 재산상의 손실을 가져다 주는 재앙을 말한다.
④ 실화, 방화로 발생하는 연소현상을 말하며 사람에게 유익하지 못한 해로운 불을 말한다.
[ #화재 의 정의]
㉠ 화재란 일반적으로 사용자의 의도에 반해 피해를 입히는 것으로 소화의 필요성이 있는 불을 말한다.
㉡ 화재란 인간의 의도에 반하여 발생하는 불을 말한다.
㉢ 화재란 그 사용목적을 넘어 다른 곳으로 연소하여 사람들에게 예기치 않은 경제상의 손해를 발생시키는
현상을 말한다.
㉣ 화재란 사람 또는 자연에 의하여 불이 건물, 가옥 등을 연소시키는 현상을 말한다.
㉤ 실화, 방화 등 인간에 의해 발생한 유익하지 못한 해로운 불을 말한다.
2. 화재의 분류방법 중 유류 화재를 나타내는 것은 ? ②
① A급 화재 ② B급 화재 ③ C급 화재 ④ D급 화재
※ 화재의 분류
|
화재 종류
|
표시색
|
적응물질
|
|
일반화재 (A급)
|
백색
|
목재, 고무, 섬유, 종이
|
|
유류 및 가스화재 (B급)
|
황색
|
등유, 가솔린, 에틸알코올, LPG
|
|
전기화재 (C급)
|
청색
|
과전류, 지락, 단락
|
|
금속화재 (D급)
|
무색
|
철분, 마그네슘, 금속분
|
3. 화재의 종류에서 급수는 C급이며 화재의 종류는 전기화재이다. 표시색은 ? ④
① 백색 ② 황색 ③ 무색 ④ 청색
※ 화재의 종류
|
화재 종류
|
표시색
|
적응물질
|
|
일반화재 (A급)
|
백색
|
목재, 고무, 섬유, 종이
|
|
유류 및 가스화재 (B급)
|
황색
|
등유, 가솔린, 에틸알코올, LPG
|
|
전기화재 (C급)
|
청색
|
과전류, 지락, 단락
|
|
금속화재 (D급)
|
무색
|
철분, 마그네슘, 금속분
|
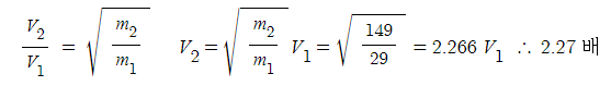
4. 공기와 할론 1301의 혼합기체에서 #할론 1301에 비해 공기의 확산속도는 약 몇 배인가 ? (단, 공기의 평균분자량은 29,
할론 1301의 분자량은 149이다)
① 2.27배 ② 3.85배 ③ 5.17배 ④ 6.46배
※ #그레이엄의 확산 #속도 법칙

5. 화재의 일반적인 특성이 아닌 것은 ? ②
① 확산성 ② 정형성 ③ 우발성 ④ 불안정성
[화재의 특성] 화재는 우발적(돌발적)으로 일어나서 불안정성을 가지며 확대한다.
6. 자연발화의 방지방법이 아닌 것은 ? ③
① 통풍이 잘 되도록 한다. ② 퇴적 및 수납시 열이 쌓이지 않게 한다.
③ 높은 습도를 유지한다. ④ 저장실의 온도를 낮게 한다.
[자연발화 방지법]
㉠ 습도를 낮게 하여 정촉매로서의 역할을 하지 못하도록 하여야 한다.
㉡ 통풍이 잘 되게 하여 열의 축적을 막는다.
㉢ 저장실의 온도를 낮추어 열의 축적을 막는다.
㉣ 퇴적 및 수납시 열의 축적이 없도록 하여야 한다.
7. 자연발화가 일어나기 쉬운 조건이 아닌 것은 ? ①
① 열전도율이 클 것 ② 적당량의 수분이 존재할 것
③ 주위의 온도가 높을 것 ④ 표면적이 넓을 것
[자연발화 조건]
㉠ 발열량이 클수록 열축적이 용이하다.
㉡ 열전도율이 작아야 열축적이 용이하다.
㉢ 주위의 온도가 높을 수록 자연발화 가능성이 크다.
㉣ 표면적이 넓을 수록 산소와의 접촉 면적이 넓어 자연발화 가능성이 크다.
8. 햇볕에 장시간 노출된 기름걸레가 자연발화하였다. 그 원인으로서 가장 적당한 것은 ? ②
① 산소의 결핍 ② 산화열의 축적 ③ #단열 압축 ④ #정전기 발생
[산화열 발생 물질] 건성유 및 반건성유, 원면, 석탄, 금속분, 고무분말, 기름걸레 등
9. #화재하중 을 나타내는 단위는 ? ②
① kcal / kg ② ℃ / ㎡ ③ kg / ㎡ ④ kg / kcal
※ 화재하중 [kg/㎡] : 건축물 내 단위면적당 가연물의 양을 말하는데, 화재하중이 클수록 실내발열량이 높아지며
연소시간이 길어짐을 의미하므로 성능위주설계 등에서 고려되어야 한다.
10. 화재에 대한 건축물의 소실 정도에 따른 화재형태를 설명한 것으로 옳지 않은 것은 ? ④
① 부분소화재란 전소화재, 반소화재에 해당하지 않는 것을 말한다.
② 반소화재란 건축물에 화재가 발생하여 건축물의 30[%] 이상 70[%] 미만 소실된 상태를 말한다.
③ 전소화재란 건축물에 화재가 발생하여 70[%] 이상 소실된 상태를 말한다.
④ 훈소화재란 건축물에 화재가 발생하여 건축물의 10[%] 이하가 소실된 상태를 말한다.
[건축물의 소실정도에 따른 화재형태]
㉠ #전소화재 : 건축물에 화재가 발생하여 건축물의 70[%] 이상이 소실된 상태
㉡ #반소화재 : 건축물에 화재가 발생하여 건축물의 30~70 [%] 미만이 소실된 상태
㉢ #부분소화재 : 전소화재, 반소화재에 해당하지 않는 것
11. 화상의 종류 중 전기화재에 입은 화상으로서 피부가 탄화되는 현상이 발생하였다면 몇도 화상인가 ? ④
① 1도 화상 ② 2도 화상 ③ 3도 화상 ④ 4도 화상
[열과 #화상 ]
㉠ 1도 화상 : 화상의 부위가 분홍색으로 되고, 가벼운 부음과 통증을 수반하는 현상
㉡ 2도 화상 : 화상의 부위가 분홍색으로 되고, 분비액이 많이 분비되는 현상, 피부에 물집이 생기는 정도
㉢ 3도 화상 : 화상의 부위가 벗겨지고, 검게 되는 현상
㉣ 4도 화상 : 전기화재에서 입은 화상으로서 피부가 탄화되고, 뼈까지 도달되는 현상
12. 가연성 기체와 공기를 미리 혼합시킨 후에 연소시키는 연소형태는 ? ④
① #확산연소 ② #표면연소 ③ #분해연소 ④ #예혼합연소
[예혼합연소] 기체연료에 공기 중의 산소를 미리 혼합한 상태에서 연소하는 현상
'소방설비기사 (전기) > 소방원론' 카테고리의 다른 글
| 기체에 관한 법칙 (연소론) (0) | 2023.04.11 |
|---|---|
| 연소와 관련한 용어 해설 (0) | 2023.04.10 |
| 산소공급원 - 연소론 (0) | 2023.04.09 |
| 점화원 (인화점, 발화점, 연소점) (2) | 2023.04.09 |
| 폭발 (물리적 폭발과 화학적 폭발) (0) | 2023.04.08 |
