
1. 변압기의 1차 권수가 10회, 2차 권수가 300회인 경우 2차 단자에서 1,500V의 전압을 얻고자 하는 경우 1차 단자에서
인가하여야 할 전압은 ? ①
① 50 [V] ② 100 [V] ③ 220 [V] ④ 380 [V]
[해설] 변압기 권수비

2. 3상 전원에서 6상 전압을 얻을 수 있는 변압기의 결선방법은 ? ④
① 우드브리지 결선 ② 메이어 결선 ③ 스코트 결선 ④ 환상결선
[해설] 환상결선 : 3상 전원에서 6상 전압을 얻을 수 있는 변압기의 결선방법
3. 동기발전기의 병렬운전조건으로서 옳지 않은 것은 ? ④
① 상회전방향이 같을 것 ② 발생전압의 크기가 같을 것
③ 기전력의 위상이 같을 것 ④ 회전수가 같을 것
[해설] 동기발전기의 병렬운전 조건 : 기전력의 크기가 같을 것, 기전력의 위상이 같을 것,
#기전력 의 주파수가 같을 것, 기전력의 파형이 같을 것, 상회전 방향이 같을 것
4. 직류발전기의 자극수 4, 전기자 도체수 500, 각 자극의 유효자속수 0.01[Wb], 회전수 1800[rpm]인 경우 #유기기전력 은
얼마인가 ? (단, 전기자 권선은 파권이다.) ④
① 100 [V] ② 150 [V] ③ 200 [V] ④ 300 [V]
[해설] #직류발전기 의 유기기전력의 크기

5. 3상 유도전동기의 기동법이 아닌 것은 ? ③
① Y-△ 기동법 ② 기동보상기법 ③ 1차저항 기동법 ④ 전전압기동법
[해설] 3상 유도전동기의 기동법
가. 농형 : 전전압기동법(직입기동법), Y-△ 기동법, 리액터 기동법, 기동보상기법, 콘도르퍼 기동법
나. 권선형 : 2차 저항법
6. 서보전동기에 필요한 특징을 설명한 것으로 옳지 않은 것은 ? ②
① 정·역회전이 가능하여야 한다.
② 직류용은 없고 교류용만 있다.
③ 저속이며 원활한 운전이 가능하여야 한다.
④ 급가속, 급감속이 쉬워야 한다.
[해설] #서보전동기 (Servo motor)
▣ 직류전동기와 교류전동기가 있다. 정·역회전이 가능하다.
▣ 급가속, 급감속이 가능하다. 저속운전이 용이하다.
7. 농형 유도전동기의 속도 제어방법이 아닌 것은 ? ③
① 주파수를 변경하는 방법 ② 극수를 변경하는 방법
③ 2차 저항을 제어하는 방법 ④ 전원전압을 바꾸는 방법
[해설] 농형유도전동기의 속도 제어방법 : 주파수를 변경하는 방법, 극수를 변경하는 방법 전원전압을 바꾸는 방법
8. 다음 사항 중 직류전동기의 제동법이 아닌 것은 ? ③
① 역전제동 ② 발전제동 ③ 정상제동 ④ 회생제동
[해설] 직류전동기의 제동법
가. #발전제동 : 직류전동기를 발전기로 하고 운동에너지를 저항기 속에서 열로 바꾸어 제동하는 방법
나. #역전제동 : 운전 중에 전동기의 전기자를 반대로 전환하여 역방향의 토크를 발생시켜 급속히 제동하는 방법
다. #회생제동 : 전동기를 발전기로 하고 그 발생전력을 전원으로 회수하여 효율을 좋게 제어하는 방법
9. 직류 전동기 속도 제어 중 전압제어방식이 아닌 것은 ? ④
① 워드 레오너드방식 ② 일그너 방식 ③ 직병렬법 ④ 정출력제어방식
[해설] 직류 전동기의 속도 제어 (전압제어방식)
▣ 워드 레오너드방식, 일그너방식, 직병렬식, 쵸퍼제어법
10. 다음 단상 유도전동기 중 기동토크가 가장 큰 것은 ? ④
① 세이딩 코일형 ② 콘덴서 기동형 ③ 분상 기동형 ④ 반발 기동형
[해설] 기동토크가 큰 순서 : 반,콘,분,세
▣ 반발기동형 > 반발유도형 > 콘덴서 유도형 > 분상기동형 > 세이딩 코일형
11. 0.5[kV]의 수신기용 변압기가 있다. 변압기의 철손이 7.5[W], 전부하 동손이 16[W] 이다. 화재가 발생하여 처음 2시간은
전부하 운전되고 다음 2시간은 1/2의 부하가 걸렸다고 한다. 이 4시간에 걸친 #전손실 전력량은 몇 [Wh]인가 ? ①
① 70 ② 76 ③ 82 ④ 94
[해설] 전손실 전력량

12. 전기기기의 철심을 규소강판으로 성층하는 가장 주된 이유는 ? ④
① #히스테리시스손 의 감소 ② #와류손 의 감소 ③ 동손의 감소 ④ 철손의 감소
[해설] 철손의 손실 : 규소강판 성층 이유 : 철손의 감소
13. 전양정 55[m], 토출량 0.3[㎥/min], 펌프 효율 0.55, 전도계수 1.1인 옥내 소화전 전동기 출력은 약 몇 [kW]인가 ?
① 5.4 ② 5.8 ③ 6.6 ④ 6.9
[해설] 전동기 출력

14. 3상 유도전동기가 회전하는 기본적인 원리는 ? ③
① 2전동기설 ② #브론덴 법칙 ③ 전자유도작용 ④ #표피현상
[해설] 3상 유도전동기 : 3상 유도전동기가 회전하는 기본적인 원리는 전자유도작용 때문이다.
15. 단상 변압기의 3상 결선 중 △-△ 결선의 장점이 아닌 것은 ? ④
① 변압기 외부에 제3고조파가 발생하지 않아 통신장애가 없다.
② 제3고조파 여자전류 통로를 가지므로 #정현파 전압을 유기한다.
③ 변압기 1대가 고장나면 V-V결선으로 운전하여 3상 전력을 공급한다.
④ 중성점을 접지할 수 있으므로 고압의 경우 이상전압을 감소시킬 수 있다.
[해설] 변압기 △-△ 결선의 장점
▣ 변압기 외부에 제3고조파가 발생하지 않아 통신장애가 없다.
▣ 제3고조파 여자전류 통로를 가지므로 정현파 전압을 유기한다.
▣ 변압기 1대가 고장나면 V-V결선으로 운전하여 3상 전력을 공급할 수 있다.
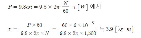
16. 출력 6[kW], 회전수 1,500[rpm]의 전동기 토크는 몇 [kg·m]인가 ?
① 3 ② 3.9 ③ 4.6 ④ 5.4
[해설] 전동기 토크

17. 다음 중 3상 유도전동기에 속하는 것은 ? ①
① 권선형 유도 전동기 ② 세이딩코일형 전동기 ③ 분상기동형 전동기 ④ 콘덴서기동형 전동기
[해설] 3상 유도 전동기 : 농형 유도전동기, 권선형 유도 전동기
18. 다음 중 단상 변압기의 병렬운전 조건에 필요하지 않은 것은 ? ①
① 용량이 같을 것 ②%임피던스 강하가 같을 것 ③ 극성이 같을 것 ④ 권수비가 같을 것
[해설] 변압기의 병렬운전조건
① 권수비가 같을 것 ② 극성이 같을 것 ③ 1·2차 정격전압이 같을 것 ④ %임피던스 강하가 같을 것
19. AC 서보 전동기의 전달함수는 어떻게 취급하면 되는가 ? ②
① 미분요소와 1차 요소의 직렬결합으로 취급한다.
② 적분요소와 1차 요소의 직렬결합으로 취급한다.
③ 미분요소와 2차 요소의 병렬결합으로 취급한다.
④ 적분요소와 1차 요소의 병렬결합으로 취급한다.
[해설] AC 서보전동기 : 적분요소와 1차 요소의 직렬 결합으로 취급한다.
20. 유도전동기의 회전력은 ? ③
① 단자전압에 비례한다. ② 단자전압에 반비례한다.
③ 단자전압의 제곱에 비례한다. ④ 단자전압의 제곱에 반비례한다.

21. 3상 유도전동기의 기동법 중에서 2차 저항제어법은 무엇을 이용하는가 ? ③
① 전자유도작용 ② #플레밍 의 법칙 ③ #비례추이 ④ #게르게스 현상
[해설] 비례추이 : 2차 #저항제어법 을 이용한 것으로 유도전동기의 토크는 2차 저항과 슬립의 함수로 나타내는데
이 비례추이를 일정하게 유지하면 임의의 슬립에 대하여 동일한 #토크 를 발생하는 현상
22. 변압기와 관련된 설명으로 옳지 않은 것은 ? ③
① 2개의 코일 사이에 적용하는 전자유도작용에 의해 변압하는 기능이다.
② 1차측과 2차측의 전압비를 변압비라 한다.
③ 자속을 발생시키기 위해 필요한 전류를 유도기전력이라 한다.
④ 변류비는 권수비와 반비례한다.
[해설] 변압기
▣ 2개의 코일 사이에 작용하는 전자유도작용에 의해 변압하는 기능이다.
▣ 1차측과 2차측의 #전압비 를 #변압비 라고 한다.
▣ #자속 을 발생시키기 위해 필요한 전류를 자화전류라 한다.
23. 전동기가 동력원으로 많이 사용되는 이유는 ? ①
① 종류가 많고 설치가 용이하며, 개별운전이 편리하고 제어가 쉽다.
② 종류가 많고 전압이 쉽게 변동되며, 개벌운전이 편리하고 제어가 쉽다.
③ 단락 등의 고장처리가 간단하며, 무공해 동력원으로 제어가 쉽다.
④ #단락 등의 고장처리가 간단하며, 이동용 동력으로 적당하고 설치가 쉽다.
[해설] 전동기 (Motor) : #전자유도작용 에 의하여 회전하는 장치로서, 종류가 많고, 설치가 용이하며,
개별운전이 편리하고 제어가 쉽다.
24. 전기기기에서 생기는 손실 중 권선의 저항에 의하여 생기는 손실은 ? ②
① 철손 ② 동손 ③ 표유부하손 ④ 유전체손
[해설] 손실 (Loss) : #동손 - 권선의 저항에 의하여 생기는 손실, #철손 - 철심 속에서 생기는 손실
25. 3상 유도 #전동기의 #회전자 #철손 이 작은 이유는 ?③
① 효율, 역률이 나쁘다. ② #성층 #철심 을 사용한다. ③ 주파수 가 낮다. ④ 2차가 #권선형이다.
[해설] 3상 유도전동기
'소방설비기사 (전기) > 소방전기일반' 카테고리의 다른 글
| 보호계전기, 콘덴서, 전선의 굵기 선정 (0) | 2023.02.28 |
|---|---|
| 전기기기 (발전기 및 전동기) (2) | 2023.02.27 |
| 전원 정류회로의 특성 : 출제 예상 문제 (0) | 2023.02.27 |
| 반도체 소자 종류 : 출제 예상 문제 (2) | 2023.02.27 |
| 반도체 소자의 종류 (다이오드, 트랜지스터) (0) | 2023.02.26 |
