1. 다이오드
▣ 다이오드는 p형 반도체와 n형 반도체를 하나의 반도체에 결합한 구조로 2개의 전극을 가진 소자이다.

p-n 접합 다이오드는 보통 규소로 만들어지지만, 저마늄이나 갈륨-비소가 사용되기도 한다. 첨가해 주는 불순물의 종류에 따라 음전하 운반체(전자)를 갖고 n-형 반도체 특징을 보이는 영역이 생기기도 하며, 양전하 운반체(정공)를 갖고 p-형 반도체 특징을 보이는 영역이 생기기도 한다. 이러한 n-형과 p-형 반도체가 접합되면 처음에는 n-형에서 p-형 쪽으로 전자가 순간적으로 흐르게 되고 그 결과 전하 캐리어가 존재하지 않는 제3영역이 생기게 되는데 이 영역을 결핍 영역(depletion region)이라고 한다.
p-n 접합이라 불리는 두 영역 사이의 경계에서는 다이오드의 작용이 일어난다. 매우 높은 전위차가 n-형과 p-형 반도체 사이에 존재하게 되면, n-형 반도체에서 p-형 반도체 쪽으로 핍 영역을 지나 전자가 흐르게 한다. 이러한 접합은 전위차가 역방향으로 가해져서 전자가 반대 방향으로 흐르는 것은 방지할 수 있기에 전기 체크 밸브(electrical check valve)라고도 할 수 있다.

▣ 다이오드는 P형 반도체와 N형 반도체를 접합하여 만든다. 다이오드는 전류의 흐름을 제어하는 밸브역할을 한다.
A(Anode)는 양극, K(Kathode) 음극이다.
① 반도체 기본소자 : 실리콘 (Si)

▣ P형 반도체는 4가 반도체에 3가 불순물을 주입하여 만들고 N형 반도체에는 4가 반도체에 5가 불순물을 주입하여
만든다.

순바이어스 : 전위장벽 낮아진다. 공간 전하 영역이 좁다.
역바이어스 : 전위 장벽이 높아진다. 공간 전하영역이 넓어진다.

② 다이오드 접속

2. 다이오드 종류

가. 정류용 #다이오드
① 순방향 전압시 저항 "0", 역방향 전압시 저항 "∞"
② 정류 특성
㉠ #컨버터 (converter) : 교류를 직류로 변환
㉡ #인버터 (Inverter) : 직류를 교류로 변환
㉢ 부(-) 저항 특성을 가지지 않는다.
나. 발광 다이오드 (LED)
① 응답속도가 매우 빠르다.
② PN접합에 순방향 전류를 흘려서 발광시킨다.
③ 전구에 비해 수명이 길고 진동에 강하다.
④ 발열이 작다.
⑤ 재질 : 비소화갈륨 (GaAs), 인화갈륨(GaP)
3. 트랜지스터 (TR)
▣ 트랜지스터는 전류를 증폭할 수 있는 부품이고 작은 베이스 전류로 큰 콜렉터 전류를 조절할 수 있다.
또한 스위치 역할을 한다.
⊙ 트랜지스터는 NPN, PNP 두종류가 있다.
⊙ 베이스에 전압이 가해지면 이미터, 컬럭터 사이에 도통된다. ⇒ 스위치 역할, 증폭 역할

가. 트랜지스터의 특성 및 구성
① 베이스 전류에 따라 컬렉터 전류가 흐르거나 흐르지 않기도 하는 스위칭 작용을 한다.
② 약간의 베이스 전류로 큰 컬렉터 전류를 얻을 수 있는 증폭 특성을 가진다.
③ 고온에 약하다.
④ #베이스 (B), #이미터 (E), #컬렉터 (C)의 3개의 다리로 구성된다.
나. 초고주파용 트랜지스터의 구비조건
① 컬렉터 전압이 커야 한다.
② 컬렉터 전류가 커야 한다.
③ 이미터 접합 면적이 작아야 한다.
④ 베이스 두께가 매우 얇아야 한다.
다. FET (전계효과 트랜지스터)의 특성
① 집적도가 높다.
② 입력저항이 매우 크다.
③ 이득대역폭이 작다.
④ 소비전력이 작다.
⑤ 동작속도가 느리다.
⑥ 소자특성이 단극성 소자이다.
라. 확산형 #트랜지스터
① 불활성 가스 속에서 확산시킨다.
② 단일 확산형과 2중 확산형이 있다.
③ 베이스 내에서 확산시킨다.
④ 기체반도체가 용해하는 것보다 낮은 온도에서 불순물을 확산시킨다.
마. #MOSFET (금속 산화막 전계효과 트랜지스터)의 특성
① 산화 절연막을 가지고 있어서 큰 입력저항을 가지고 게이트 전류가 거의 흐르지 않는다.
② 2차 항복이 없다.
③ 안정적이다.
④ 열 폭주현상을 보이지 않는다.
⑤ 소전력으로 작동한다.
바. 각 단자의 전류

① 전류 증폭률

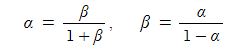
여기서, β : 베이스 전류와 컬렉터 전류 사이의 비율 (이미터 접지 전류증폭정수)
α : 이미터로 주입되어 캐리어가 컬렉터에 도달하는 비율 (베이스 접지 전류증폭정수)
② α와 β의 관계

5. 기타 반도체

가. SCR의 특징
① PnPn의 4층 구조로 되어 있다.
② OFF 상태의 저항은 매우 높다.
③ 특성곡선에 부저항 부분이 있다.
④ 게이트 전류를 바꿈으로써 출력전압을 조정할 수 있다.
⑤ 스위칭 소자이다.
⑥ 직류 및 교류의 전력 제어용으로 사용된다.
⑦ 단방향성 #사이리스터 이다.
⑧ 게이트 전류에 의하여 방전개시전압을 제어할 수 있다.
⑨ 도통 상태에 있는 SCR을 차단하는 방법
㉠ 전압의 극성을 바꾸어 준다.
㉡ 양극전압을 부(-)로 바꾼다.
㉢ 음극전압을 양(+)로 바꾼다.
※ #래칭전류 (Latching Current)
▣ #트리거 신호가 제거된 직후에 사이리스터를 ON 상태로 유지하는데 필요로 하는 최소한의 주전류
※ 유지전류 : SCR이 ON된 후에 ON 상태를 유지하는데 필요한 최소 전류
나. #서미스터 (Thermistor)
① 부(-) #저항온도계수 (NTC)의 특성 : 온도 증가시 저항 감소
② 열을 감지하는 #감열저항체 소자
③ 온도 보상용, 온도계측용(온도계), 온도보정용
다. #바리스터(Varister) : 가변 용량 소자
① 전압에 따라 저항값이 비직선적으로 변화하는 저항 소자
② 회로를 병렬로 연결하여 사용
③ 서지전압으로 부터 기기 보호
④ 계전기 접점의 불꽃 제거
라. #집적회로 (IC)
▣ 하나의 칩(조각) 속에 트랜지스터와 다이오드, 저항 등의 소자를 내장한 것
① 대량생산
② 신뢰도 향상
③ 전자기기의 소형, 경량화
④ 빠른 동작속도
'소방설비기사 (전기) > 소방전기일반' 카테고리의 다른 글
| 전원 정류회로의 특성 : 출제 예상 문제 (0) | 2023.02.27 |
|---|---|
| 반도체 소자 종류 : 출제 예상 문제 (2) | 2023.02.27 |
| 반도체 소자 (0) | 2023.02.25 |
| 논리회로와 부울대수, 드모르간의 정리 (0) | 2023.02.25 |
| 시퀀스 제어회로의 일반 개념 (0) | 2023.02.25 |
