1. 직류기
#직류발전기 의 동작원리는 #플레밍 의 #오른손 법칙으로 설명됩니다.
오른손 법칙은 자계가 설정되어 있는 상황에서 도체를 움직이면 도체에 전류가 유기된다는
것입니다. 도체의 움직임에 대하여 생각해 봅시다.
자계내에서 연속적인 도체의 움직임을 얻을 수 있는 방법은 무엇일까요?
직선운동으로는 불가능합니다.
무한한 #평등자계 를 만들어 주는 것은 불가능하기 때문입니다.
결국 제한된 영역에서 도체의 운동을 이용하는 방법을 생각해 내야 합니다.
회전운동은 문제해결의 실마리를 제공합니다.
기계적인 동력을 이용하는 방법도 원래 원동기를 이용한 회전운동을 축을 통하여
전달하는 것입니다. 이러한 회전운동을 이용하기 위해서 간단한 기계적인 구조를 고안해 보겠습니다.
회전하는 원통 위에 도체를 감아 놓은 것입니다.
이제는 무한 평등 자계가 필요없이 회전자가 회전하는 공간에서만 자계를 만들어 주면 됩니다.
자계를 설정하여 주는 부분을 #계자 (Field)라고 하고, 도체가 있는 부분을 전기자(Armature)라고 합니다.
이는 전기 자기적인 역할에 의한 분류이고 운동하는 부분을 #회전자 (Rotor), 정지되어
있는 부분을 고정자(Stator)로 분류하기도 합니다.
직류기에서는 계자가 고정자이고, 전기자는 회전자입니다.
[계자와 전기자 구분]
|
구 분
|
계자
|
전기자
|
|
전기적인 역할
|
자계를 설정하는 부분
|
도체가 있는 있는 부분
|
|
기계적인 역할
|
고정자
|
회전자
|
제안된 구조에서 두가지 문제점을 생각할 수 있습니다.
하나는 도체에 유기된 전압을 어떻게 뽑아 사용할 수 있는가 하는 문제이고
다른 하나는 유기되는 전압이 일정하지 않으며 변화할 것이라는 사실입니다.
첫번째 문제는 #슬립링 을 설치하여 해결할 수 있습니다.
슬립링을 설치하면 회전하는 회전자의 도체로 부터 전류를 얻어 낼 수 있습니다.
슬립링은 반지 모양의 도체를 축상에 설치하고 외부 도체가 브러시를 통하여 접촉함으로써
전선이 꼬이지 않고 전류를 외부로 얻어 내는 구조를 갖고 있습니다.
그림 2-1(a)는 이러한 슬립링의 구조를 보여줍니다.


슬립링을 통하여 얻은 전압은 교류입니다.
슬립링의 역할은 회전하는 회전자의 도체로 부터 전류를 얻어 내는 것입니다.
도체가 한번 회전할 때 교차하는 자속의 밀도는 도체의 위치에 따라서 다르게 됩니다.
도체에 유기된 전압은 교류형태의 전압이 유기됩니다. 직류 발전기는 직류를 얻는 것입니다.
유기되는 교류에서 어떻게 직류를 얻을 수 있을까요?
두번째 문제점입니다.
이 문제에 대한 해답은 #정류자 를 설치하는 것입니다.
정류자는 회전자에 위치한 도체가 특정위치에 올 경우 회전자측에 위치한 정류자편과 외부 회로측에 연결된 브러시 측의
접점이 바뀌도록 기계적으로 구성한 장치입니다.
회전을 하면서 기계적인 스위칭 동작이 일어나 외부회로에서는 직류전원을 얻을 수 있습니다.
위 그림 에서 정류자의 구조를 보여 줍니다.
가. 직류 발전기
① 원리 : 플레밍의 오른손 법칙 이용
② 구조
㉠ 계자 : 자기력선을 발생하는 부분
㉡ 전기자 : 자속과 쇄교하여 기전력을 발생시키는 부분
㉢ 정류자 : 전기자에 의해 발전된 기전력을 직류로 변환하는 부분
③ 발전기의 종류 : 여자 방식에 따른 분류
㉠ 타여자 발전기
⊙ 발전기 외부의 다른 직류 전원에서 여자전류를 공급하여 계자를 여자시키는 발전기
㉡ 자여자 발전기
⊙ 분권발전기 : 계자회로와 전기자 회로가 병렬로 접속
⊙ 직권발전기 : 계자회로와 전기자 회로가 직렬로 접속
⊙ 복권발전기 : 두 개의 계자회로가 전기자 회로와 직·병렬로 접속
④ 유기기전력

여기서, E : 유기기전력 [V], P : 극수, ф : 자속 [Wb], N : 회전수 [rpm]
Z : 전기자 도체수, a : 병렬회로수 (파권 : 2)
⑤ 발전기의 효율

나. 직류 전동기 : 직류 발전기와 구조가 동일
① 원리 : 플레밍의 왼손 법칙 이용
② 정격 토크 (회전력 τ)

여기서, P : 정격출력 [W], N : 정격회전속도 [rpm]
㉠ 직권전동기는 전기자 전류의 제곱에 비례, 분권전동기는 전기자 전류에 비례
㉡ 전부하 토크

※ 직류 전동기의 회전수는 자속이 감소하면 속도가 증가하고, 자속이 증가하면 속도가 감소한다.
③ 전동기 종류
㉠ 타여자 전동기 : 속도변동이 작다.
㉡ 분권, 직권, 복권 전동기 등
④ 전동기의 속도 제어
㉠ 계자제어(미소제어) : 정출력 제어, 정류가 불량
㉡ 전압제어 (정토크 제어)
⊙ 워드레오너드 방식 : 가장 광범위한 속도 제어, 소형 부하
⊙ 일그너 방식 : 부하가 급변하는 곳에 사용 (플라이휠), 대형 부하
⊙ 직병렬법
⊙ 쵸퍼제어법
㉢ 저항제어 : 전력손실이 크다. 소형 전동기용
⑤ 직류전동기의 제동법
㉠ 역전제동 (역상제동, Plugging)
⊙ 운전중에 전동기의 전기자를 반대로 전환하여 역방향의 토크를 발생시켜 급속히 제동하는 방법
㉡ 발전제동
⊙ 직류전동기를 발전기로 하고 운동에너지를 저항기 속에서 열로 바꾸어 제동하는방법
㉢ #회생제동
⊙ 전동기를 발전기로 하고 그 발생전력을 전원으로 회수하여 효율을 좋게 제어하는 방법
⑥ 전동기의 효율

2. 동기기
▣ 동기발전기의 병렬운전조건
① 기전력의 크기가 같을 것
② 기전력의 위상이 같을 것
③ 기전력의 주파수가 같을 것
④ 기전력의 파형이 같을 것
⑤ 상회전 방향이 같을 것
3. 변압기
▣ 높은 전압을 낮은 전압으로 또는 낮은 전압을 높은 전압으로 변환하는 전기기기

가. 원리
▣ 자기회로를 가진 1개의 철심(Core)에 2개의 권선(Winding)을 감고 한쪽의 권선에 교류 전압을 가하면 철심에
교번 자기력선속이 발생한다. 이 교번 자기력선속이 다른 권선을 지나가면 전자유도작용에 의해 그 권선에
유도기전력이 발생하고, 권선에 유도되는 기전력의 크기는 감은 횟수에 비례한다. 전원에 접속되어 있는 권선을
1차 권선, 부하 쪽에 접속되어 있는 권선을 2차 권선이라 한다.
나. 유도 기전력

여기서, E1 : 변압기 1차 전압 [V], E2 : 변압기 2차 전압 [V], N1 : 1차 권선수,
N2 : 2차권선수, f : 전원주파수[Hz], фm : 실효값 자속 [Wb]
다. 권수비
|
⊙ 규소강판 사용 이유 : 히스테리시스손의 감소
⊙ 성층 이유 : 와류손의 감소 (와전류로 인한 전력손실 감소)
⊙ 규소 강판 성층 이유 : 철손의 감소
|

※ 1/m 부하인 경우 변압기 효율 (η)

사. 전손실 전력량

여기서, W : 전손실 전력량 [Wh], Pi : 철손 [W], Pc : 동손 [W], t : 시간 [h]
아. 변압기의 결선방법
① 우드브리지(Woodbridge's) 결선
⊙ 1차측에 3상 전압을 공급하여 2차측에서 2상 4선식 전압을 얻는 결선방법
② 메이어(Meyer) 결선
⊙ 1차측에 3상 전압을 공급하여 2차측에서 2상 전압을 얻는 결선 방법
③ 스코트(Scott) 결선
⊙ 3상에서 2상으로 변환하기 위한 결선으로, 3상측 회로의 선로에 접속되는 권선의 다른 2상 권선에 접속되는
권선의 중간지점에서 접속되어 양권선의 유기전압이 서로 직각위상으로 되는 권선 방법
④ 환상결선 : 3상 전원에서 6상 전압을 얻을 수 있는 변압기의 결선방법
자. 변압기 기름의 요구 특성
① 인화점이 높을 것 (130 [℃] 이상)
② 비열이 커서 냉각 효과가 크고 열전도율이 클 것
③ 절연내력이 클 것 (12[kV/㎜ 이상)
④ 응고점이 낮을 것 (-30 [℃] 이하)
⑤ 절연 재료 및 금속에 접촉하여도 화학 작용을 일으키지 않을 것
⑥ 고온에서 석출물이 생기거나 산화되지 않을 것
⑦ 점도가 낮을 것
차. △-△ 결선의 장점
① #변압기 외부에 제3고조파가 발생하지 않아 통신장애가 없다.
② #제3고조파 여자전류 통로를 가지므로 정현파 전압을 유기한다.
③ 변압기 1대가 고장 나면 V-V결선으로 운전하여 3상 전력을 공급할 수 있다.
4. 유도기
가. 회전수와 슬립
① #동기속도

나. 기동방식
① 단상 유도 전동기
㉠ 분상 기동형 : 유도전동기에서 단상 전동기에 보조권선을 설치하여 단상 전원에 주권선과 보조권선에 위상이 다른
전류를 흘려서 불평형 2상 전동기로 기동하는 방법
㉡ 반발 기동형 : #브러시 이동의 크기에 따라서 기동 토크의 크기가 바뀌고 또한 브러시의 이동방향에 따라서
회전방향이 바뀌는 방식
㉢ 반발 유도형 : 회전자에 정류자 권선 쪽에 농형권선이 감겨져 있어 정류자의 단락장치가 없는 형식
㉣ 세이딩 코일형 : 기동토크가 작고 셰이딩 코일 속의 손실이 큰 결점이 있으나 구조가간단하고 가격도 저렴하여
널리 사용되는 형식
㉤ #콘덴서 기동형 : 진상용 콘덴서의 90° 앞선 전류에 의한 회전자계를 발생시켜 기동하는 방식
② 3상 유도 전동기
㉠ 농형 유도 전동기
⊙ 전전압기동(직입기동) : 전동기에서 직접 전원접속하여 기동하는 방식으로 5[kW]이하 소용량 전동기용으로 사용
⊙ Y-△ : 기동시 Y결선으로 기동하고, 정격속도에 도달하면 △결선으로 운전하는 방식
⊙ #리액터 기동 : 직렬로 리액터를 접속하여 기동하는 방식
⊙ #기동보상기 기동 : 3상 단권변압기를 이용하여 기동전압을 떨어 뜨려 기동전류를 제한하는 방식
⊙ 콘도르퍼 기동 : 기동보상기법과 리액터 기동법을 혼합한 방식
※ 농형 회전자의 장점
⊙ 구조가 간단하고 튼튼하다. ⊙ 취급이 쉽고 효율이 좋다. ⊙ 보수가 용이하다.
㉡ 권선형 유도 전동기
⊙ 2차 저항기동법 : 비례추이 특성을 이용하는 기동방식
⊙ 2차 임피던스 기동법 : 접속된 전원 3개 단자 중 2개 단자를 바꾸어 회전방향에 반대로 운전하는 방식
다. 속도제어법

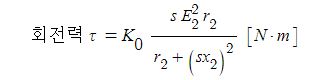
여기서, τ : 토크(회전력) [N·m], Ko : 비례상수, s : 슬립, x2 : 2차 1상의 리액턴스[Ω]
E2 : 단자전압(2차 유기기전력)[V], r2 : 2차 1상의 저항 [Ω]
5. 서보 전동기
▣ 서보기구의 최종단에 설치되는 조작기기(조작부)로서, 직선운동 또는 회전운동을 하며 정확한 제어가 가능하다.
가. AC 서보전동기의 일반사항
① 큰 회전력이 요구되지 않는 계에 사용되는 전동기이다.
② #고정자 의 기준 권선에는 정전압을 인가하며, 제어권선에는 제어용 전압을 인가한다.
③ 기준권선과 제어권선의 두 고정자 권선이 있으며, 90° 의 위상차가 있는 2상 전압을 인가하여 회전자계를 만든다.
④ #적분요소 와 1차 요소의 직렬결합으로 취급한다.
나. #서보전동기 의 특징
① 직류전동기와 교류전동기가 있다.
② 정·역회전이 가능하다.
③ 급가속, 급감속이 가능하다.
④ 저속운전이 용이하다.
'소방설비기사 (전기) > 소방전기일반' 카테고리의 다른 글
| 보호계전기, 콘덴서, 전선의 굵기 선정 (0) | 2023.02.28 |
|---|---|
| 전기기기 (발전기, 전동기, 변압기) 출제 예상 문제 (0) | 2023.02.28 |
| 전원 정류회로의 특성 : 출제 예상 문제 (0) | 2023.02.27 |
| 반도체 소자 종류 : 출제 예상 문제 (2) | 2023.02.27 |
| 반도체 소자의 종류 (다이오드, 트랜지스터) (0) | 2023.02.26 |




