1. #자기유도 (#Self Induction) 현상

위 그림과 같이 스위치를 On - Off를 반복하여 코일에 흐르는 전류에 변화를 주면 코일과 교차하는 자기력선이 변화하기
때문에 그 자기력선의 변화를 방해하는 방향으로 기전력이 발생한다. 이와 같은 전자 유도 작용을 자기유도 또는 자체 유도
(Self induction) 작용이라고 한다. 이 자기유도 작용에 의한 유도 기전력은 코일의 감긴 횟수와 전류의 변화량에 비례한다.

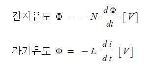
기전력의 크기는 패러데이의 전자유도식을 이용하여 구할 수 있다.

여기서, e : 유기기전력 [V], N : 코일권수, dΦ : 자속의 변화량 [Wb]
dt : 시간의 변화량 [s], L : 자기인덕턴스[H], di : 전류의 변화량 [A]
2. 자기 인덕턴스
도체 또는 코일에 전류를 흘려 주면 자속이 발생한다. 이때 전류를 많이 흘려 주면 발생하는 자속이 많아 진다.
즉 자속과 전류는 비례한다. 즉, Φ ∝ I 이다.
만약 코일의 권수가 N이면 전류가 흐를 때 발생되는 전체 자속의 양은 자속 φ에 권수를 곱한 값이 된다.
이 NΦ값은 전류 I와 비례관계이다. 즉, NΦ ∝ I 이다.

전류 I가 커지면 Nφ 도 커지는 것은 맞지만 Nφ = I 라고 할 수는 없다.
즉, I가 2[A], 3{A], 4[A]로 커질 때 Nφ 도 2[Wb], 3[Wb], 4[Wb]가 되진 않는다.
I 값에 일정한 값을 곱해줘야 Nφ 와 같아 지는데 이 때 I 에 곱해주는 비례상수를 L이라 하고
인덕턴스라고 부른다. 즉, "Nφ 는 I 의 몇 배가 된다"에서 몇 배에 해당하는 것이 "L"이다.
결과적으로 인덕턴스 L를 포함한 관계식은 N φ = L I 가 된다.

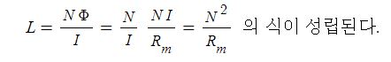
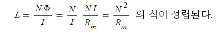
자기회로에서 기자력 F= NI = ΦRm 이란 식이 있다. 여기서 기자력은 유기기전력과 같으므로 N Φ = L I 란 식이 유도된다.

인덕턴스는 전류에 대한 자속의 비율이라고 할 수 있다.
전류 I 가 흐를 때 발생하는 자속 NΦ는 L값에 의해 결정된다. 코일 마다 L값은 다르므로
인덕턴스 L값은 전류 I 가 흐를 때 그 전류를 자속으로 환산하는 코일의 성능이다.
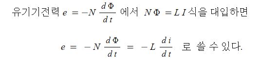
페러데이와 렌트의 법칙에서 유기기전력 식을 이용하여 다음 식을 유도할 수 있다.
e = −N d Φd t = −L d id t 로 쓸 수 있다.

유기 기전력을 구하는 식은 위식을 이용하면 되고 다시 정리하면 다음과 같다.

자기회로에서 기자력 F = NI = ΦRm 식이 이었고 이 식에서 다음식이 유도 되었다.

L = NΦ / I 이므로 Φ 대신에 NI / Rm을 대입하면 다음 식을 얻을 수 있다.

Φ 대신에 μSNI / ℓ 를 대입하면 다음 식을 얻을 수 있다.

이를 다시 정리하면 다음과 같다.

종합하면 #환상솔레노이드 에서 인덕턴스를 구하는 공식은 다음과 같다.

공식과 함께 인덕턴스 L이 코일권수 N의 제곱에 비례한다는 것을 기억하자.
4. 상호유도와 상호인덕턴스
가. #상호유도 (#Mutual #induction ) 작용
▣ 한 코일의 전류가 변화할 때 다른 코일에 기전력이 유도되는 현상을 상호유도 (Mutual induction)이라 한다.

위 그림과 같이 2개의 코일 A와 B를 가까이 놓고 코일 A에 전류를 흐르게 하면, 이것에 의하여 생기는 자속중에서
자속 φ12 는 코일 B를 관통한다. 이렇게 전류를 변화시키면 자속도 변화하므로 코일 B에는 전자유도 작용에 의하여
자속의 변화를 방해하려는 방향으로 기전력이 생기게 되는 이와 같은 현상을 상호 유도 작용이라고 한다.
상호인덕턴스는 두 코일의 크기, 모양 및 상호간의 위치 등에 따라 상호 유도 기전력이 결정되는 상수로서 상호유도계수라
고도 한다.
나. 상호인덕턴스 (Mutual induction)

위 그림과 같이 환상 솔레노이드에서 1차 코일에 전류의 변화를 주면 환상 솔레노이드에 자속이 발생하고 이 자속의
변화는 2차 코일에도 영향을 주어 2차 코일에 유기기전력이 발생하는데 이 때 1차측 전류의 시간당 변화량과 2차측에
유도되는 전압의 비례상수를 상호인덕턴스(Mutual induction)라고 한다.
① 1차, 2차 코일에 발생되는 유기기전력

② 상호인덕턴스 및 결합계수
누설자속에 의해 자기인덕턴스와 상호인덕턴스 사이에는 다음과 같은 관계가 성립한다.

5. 코일의 접속

다. 상호인덕턴스
▣ 두 코일의 상호인덕턴스는 다음과 같이 구할 수 있다.

【출제 예상 문제】
1. 자체 인덕턴스가 각각 160[mH], 250[mH]의 두 코일이 있다. 두 코일 사이의 상호 인덕턴스가 150[mH]이라면
결합계수는 ?
① 0.5 ② 0.75 ③ 0.86 ④ 1.0
[해설] #결합계수 M =k √(L1·L2)

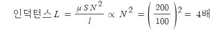
2. 권선수가 100회인 코일을 200회로 늘리면 인덕턴스는 어떻게 변화하는가 ? ④
① 1/2 배로 감소 ② 1/4 배로 감소 ③ 2배로 증가 ④ 4배로 증가
[해설] 자기인덕턴스

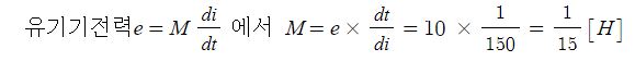
3. 유도 결합되어 있는 한 쌍의 코일이 있다. 1차 코일의 전류가 매초 5[A]의 비율로 변화하여 2차측 코일 양단에
15[V]의 유기기전력이 발생하고 있다면 두 코일 사이의 상호 인덕턴스는 몇 [H]인가 ? ②
① 0.33 ② 3 ③ 20 ④ 75
[해설] #유도기전력

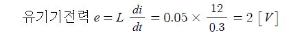
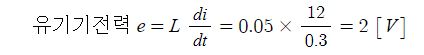
4. 자기인덕턴스 50[mH]인 코일에 흐르는 #전류 가 0.3초 동안 12[A] 변화했다. 코일에유기되는 기전력은 몇 [V]인가 ? ②
① 1 ② 2 ③ 3 ④ 4
[해설] 유기기전력

5. 두 코일을 #직렬 로 하여 합성인덕턴스를 측정하였더니 95[mH]이었고, 코일만 반대로 단자로 바꾸어 접속하니 합성
인덕턴스를 측정하였더니 15[mH]가 되었다. 두 코일간의 상호인덕턴스는 몇 [mH]인가 ? ②
① 10 ② 20 ③ 40 ④ 80
[해설] 상호인덕턴스

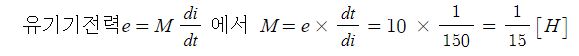
6. 한 #코일 의 전류가 매초 150[A]의 비율로 변화할 때 다른 코일에 10[V]의 기전력이 발생 하였다면 두 코일의
상호 #인덕턴스 [H]는 ? ④
① 1/3 ② 1/5 ③ 1/10 ④ 1/15
[해설] 상호인덕턴스

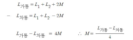
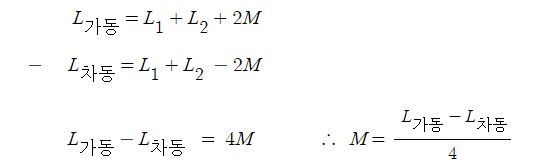
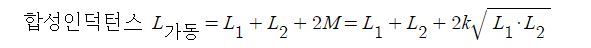
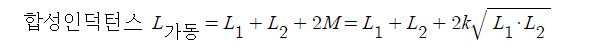
7. 자기인덕턴스 L1, L2 상호인덕턴스 M의 코일을 같은 방향으로 직렬 연결한 경우 합성 인덕턴스는 ? ④
① L1+L2-M ② L1+L2+M ③ L1+L2-2M ④ L1+L2+2M
[해설] 같은 방향 (가동) 연결된 합성인덕턴스 : L1+L2+2M
8. #자기인덕턴스 L1, L2 가 각각 4[mH], 9[mH]인 두 코일이 이상적인 결합이 되었다면 #상호인덕턴스 M은 ?
(단, #결합계수 K=1이다) ②
① 4[μH] ② 6 [μH] ③ 9[μH] ④ 36[μH]
[해설] 상호인덕턴스 (Mutual induction)

'소방설비기사 (전기) > 소방전기일반' 카테고리의 다른 글
| 교류 회로의 기초 (0) | 2023.02.11 |
|---|---|
| 인덕턴스 합성과 전자 에너지 (1) | 2023.02.09 |
| 전자 유도 현상 : 패러데이의 법칙 등.. (0) | 2023.02.07 |
| 전자력 : 자기장 내에서 도체가 받는 힘 (0) | 2023.02.06 |
| 전류에 의한 자기 현상 - 정자계 (0) | 2023.02.02 |



