
▣ 플레밍의 왼손 법칙
이 때 전류 · 자속·힘의 방향은 「#플레밍 의 왼손 법칙」에 의한다. 왼손의 엄지·검지·중지를 각각 직각이 되도록 펼 때, 엄지손가락이 힘의 방향, 검지가 자속의 방향, 중지가 전류의
방향을 나타낸다.

2. 전류에 의한 자계의 발생
아래 그림과 같이 안쪽에서 앞으로 향하는 도체에 전류를 흘리면 전류를 중심으로 반시계 방향의 동심원 모양의 자계가
발생한다. 이 때 자속의 회전방향은 「오른나사의 법칙」에 따른다. 나사 끝을 향해 전류가 흐른다고 할 때 오른 나사를
잠그는 방향으로 #자계 가 발생한다.

3. 자력선의 간섭
영구자석에서 발생한 자계와 #도체 의 전류가 형성한 자계가 상호작용을 하여 서로 영향을
미치게 된다. 두 자력선의 방향이 같을 때에는 자력선의 밀도가 높아져 자계의 세기가 커지
고 서로 반대 방향으로 향할 때는 자속이 상쇄되어 밀도가 낮아지고 자력도 약해진다.

4. 전자력의 발생
자속의 #밀도 가 강한 곳(자계의 세기가 강한 곳)과 자속의 밀도가 낮은 곳 (자계의 세기가
약한 곳)이 아래 그림과 같이 발생한다. 이에 따라 도체는 자속밀도가 높은 곳에서 낮은 쪽
으로 힘이 작용하게 된다.

5. 회전력의 발생
전자력은 다음 식으로 나타 낼 수 있다.
전자력 F = B (자속밀도) × I (전류) × ℓ (도체의 길이)
아래 그림과 같이 자계 속의 도체를 배치했을 때 도체에 발생하는 토크(회전력)은 다음 그림과 같다.

토크 τ = MHsinθ = mHℓsinθ [N·m]
여기서 τ : #회전력 [N·m], M : #자기모멘트 [Wb·m], H : 자계의 세기 [AT/m]
m : #자극 의 세기 [Wb], ℓ : 자석의 길이 [m]
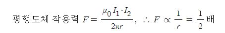
6. #평형도체 에 작용하는 힘
평행하는 도체에 전류를 흘리면 두 도체 상호간에 영향을 주게 된다. 평행하는 도체에 전류
가 흐르면 도체를 중심으로 동심원 모양의 자기장이 발생하여 상호작용을 하여 두 도선이
끌어 당기거나 밀어 내게 된다.
가. 도선 B가 받는 힘
아래 그림과 같이 두 도선간 거리를 r[m]라고 하고 도선 A, B에 같은 방향으로 전류가 흐른다고 가정하자.

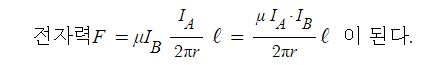
도선 A의 전류가 만드는 자계에 의해 도선 B가 받는 자계의 세기는 비오-사바르의 법칙에 의하여
다음과 같이 구할 수 있다.

도선 B에서 도선길이 전체 ℓ에서 받는 전자력은 다음과 같다.

2개의 도선이 평행하며 전선 A가 만드는 자기장과 도선B는 수직 상태이다.
따라서 sinθ = sin90° = 1이 되므로 전자력 F = μ I H ℓ [N]이 된다.
위식에 비오-사바르에 의한 자계의 세기를 대입하면 다음의 식이 된다.

위 힘을 도선 B가 받게 된다. 이 때 1[m]당 받는 힘을 구하려면 ℓ=1를 대입하면 된다.

전선 A가 받는 힘의 크기도 조건이 모두 같기 때문에 동일하다.
나. 힘의 방향
힘의 방향은 플레밍의 왼손 법칙에 따라 다음과 같이 정해진다.

같은 방향으로 흐르는 전류의 도선은 서로 끌어 당기는 힘이 작용한다.

하지만 전류가 서로 반대방향으로 흐르면 전류의 도선은 서로 밀어 내는 힘이 작용한다.

왜 이런 현상이 발생할까 ?
전류가 같은 방향일 때는 두 도선 사이의 자기장의 방향이 반대방향이어서 서로 자계가
상쇄되어 자력선의 밀도가 작아지고 밀도가 큰 쪽에서 작은 쪽으로 힘이 작용하게 되어
서로 끌어 당기는 힘이 작용한다.

#전류 의 방향이 다른 방향인 경우
두 도선 사이의 자기장의 방향이 같은 방향이어서 자기장이 합해져서 자력선의 밀도가
커지고 밀도가 큰 쪽에서 작은 쪽으로 힘이 작용하게 되어 서로 밀어내게 된다.

3. 서로 같은 방향으로 전류가 흐르고 있는 나란한 두 도선 사이에는 어떤 힘이작용하는가 ? ②
① 서로 미는 힘 ② 서로 당기는 힘 ③ 하나는 밀고, 하나는 당기는 힘 ④ 회전하는 힘
[해설] 전류가 같은 방향 : 흡인력(당기는 힘), 전류가 다른 방향 : 반발력(미는 힘)
4. 자장과 전류 사이에 작용하는 전자력의 방향을 결정하는 법칙은 ? ②
① #플레밍 의 오른 손 법칙 ② 플레밍의 왼손 법칙
③ 렌츠의 법칙 ④ #페러데이 의 전자유도 법칙
[해설] 플레밍의 왼손법칙 : 자장과 전류 사이에 작용하는 전자력의 방향을 결정하는 법칙
※ 오발 : 오른손 발전기, 왼손 : 전동기
5. 플레밍의 왼손법칙에서 중지의 방향은 무엇의 방향인가 ? ③
① 힘 ② 자력선 ③ 전류 ④ 속도
[해설] 플레밍의 왼손 법칙 : 엄지- 힘의 방향, 검지 - 자계방향, 중지 - 전류방향
6. #자속밀도 0.8[Wb/㎡]인 평등자계내에 자계의 방향과 30°의 방향으로 놓여진 길이 10[㎝]의 도선에 5[A]의 전류가
통할 때 도체가 받는 힘 [N]은 ? ①
① 0.2 ② 0.4 ③ 2 ④ 4
[정답] 직선전류에 작용하는 힘 F = BIℓ sinθ = 0.8×5×0.1×sinθ = 0.2 [N]
7. 자극의 세기가 8×10-6[Wb], 길이가 50[㎝] 인 막대자석을 150[AT/m]의 평등자계내에 자계와 30°의 각도로 놓았다면
자석이 받는 #회전력 [N·m]은 ? ②

'소방설비기사 (전기) > 소방전기일반' 카테고리의 다른 글
| 자기유도 (Self induction) 작용과 상호 유도 작용 (0) | 2023.02.08 |
|---|---|
| 전자 유도 현상 : 패러데이의 법칙 등.. (0) | 2023.02.07 |
| 전류에 의한 자기 현상 - 정자계 (0) | 2023.02.02 |
| 자기회로 - 정자계.. (2) | 2023.02.01 |
| 전계와 전기력선 - 정전계 (2) | 2023.01.30 |

