1. 교류의 정의
▣ 시간의 변화에 따라 #사인파 의 형태를 가지고, 크기와 방향이 주기적으로 변하는 전압 · 전류를 말한다.
2. 발생원인 (발전기)
① 자계 안에 도체를 놓고 회전시키면 자속을 도체가 끊으면서 기전력(전압)을 발생, 발생하는 전압은
물결모양 ( #정현파 )이 된다.
② #자속밀도 B[Wb/㎡]의 평균자계 내에 자계와 직각으로 놓은 길이 ℓ[m]의 도체가 ω [rad/sec]의 각속도와 v[m/s]의
선속도로 운동하는 경우 매초 한 쪽 도체에 의해 잘리는 자속의 양은 Bℓv sin θ, 양쪽 도체는 2 Bℓv sin θ 이다.
3. 교류의 기초
교류의 파형은 흔히 정현파라고 부른다. #삼각함수 의 sin 파형과 같다.

교류 기전력은 #발전기 의 터빈이나 프로펠러에 의하여 발생하는데 프로펠러의 한바퀴 회
전에 따라 전류의 변화와 전압의 변화량을 그리면 정현파로 나타난다.
아래 그림에서 보듯이 프로펠러의 원운동에 따라 기전력의 변화량을 y축에 나타 내었다.
왼쪽 그림과 같이 P는 일정한 속도로 원 위로 회전한다고 할 때 P점과 원점 x축 사이의 각
∠POx를 θ라고 하면 θ의 변화량에 대한 P점의 y좌표 값을 이어서 그리면 오른쪽 그래프가
나타난다.

오른 쪽 파란색 그래프를 수식으로 나타내면 다음과 같다.
f (θ) = sin θ
이는 삼각함수 형태이다. f(θ)는 각 θ의 변화와 P점의 위치 변화의 관계를 나타내는 함수이다. 이 식에서 P점의 위치가
변하는 속도, 즉 회전속도를 적용해 보면 시간 t에 대한 함수로 변환이 가능하다.
f (t) = sin t
sin 함수의 변수는 각도이고 0° ~ 360°이거나 0 ~ 2π 사이의 값을 갖는다.
sin 함수는 2π를 주기로 반복하게 되고 시간 t가 1~2, 2~3 등 모든 구간에서 위식이 만족함을 알 수 있다.
즉 sin(2πt)는 1초 마다 한번씩 반복되는 sin 함수이다.
여기서 반복되는 주기 f가 추가하게 된다.

여기에서 f는 얼마나 자주 반복되는지를 나타내는 주파수이다.
정현파 교류에서 사용하는 용어에 대하여 알아 보자.
가. 주기와 #주파수
▣ 0에서 2π까지 1회의 변화를 1 #사이클 (cycle)이라 한다.
① #주기 (Period)
⊙ 같은 크기의 전류값이 돌아 오기까지의 시간, 1 사이클(cycle)이 변화하는데 걸리는 시간, 기호 T, 단위 [sec]

② #주파수 (frequency)
⊙ 주기적인 현상이 1초 동안에 반복되는 파형의 횟수, 기호 f, 단위 [Hz]
나. #각속도 (각주파수)
① 각속도
⊙ 어떤 물체가 1초 동안에 회전한 각도를 각속도 (angular velocity)라 하고 ω[rad/s]로 나타낸다.
② #각주파수
⊙ 어떤 한 점이 1초 동안 몇 회전하였는가를 나타내는 것이 각주파수(angular frequency)이며 ω[rad/s]로 나타낸다.

다. #위상 : 전기자 도체에 사인파 진행이 시작되는 각


정현파 교류에서 실효값은 다음과 같다.

다. #최대값


② 극좌표법

③ 삼각함수법
Z = a +jb = ㅣZl (cosθ + jsinθ) = Z cosθ (실수) + Z sinθ (허수)
나. 복소수의 연산
X = a + jb, Y = c + jd 라고 할 때
① 덧셈 : X + Y = (a+jb) + (c+jd) = (a+c)+j(b+d)
② 뺄셈 : X - Y = (a+jb) - (c+jd) = (a-c) + j(b-d)
③ 곱셈 : X × Y =(a+jb) × (c+jd) = ac+jad+jbc+j2bd =(ac-bd)+j(ad+bc)

【 출제 예상 문제】
1. v=√2 V sin ωt [V]인 전압에서 ωt = π/6 [rad]일 때의 크기가 70.7[V] 이면 이 전원의 실효값은 몇 [V]인가 ?
① 100 [V] ② 200 [V] ③ 300 [V] ④ 400 [V]
[해설] 실효값

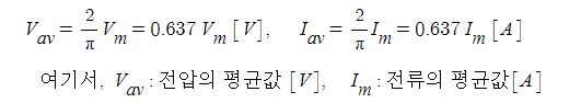
2. 220 [V], 60 [W] 가정용 전구의 전압 평균값은 약 몇 [V]인가 ? ④
① 110 [V] ② 141 [V] ③ 173[V] ④ 198[V]
[해설] 평균값

3. 교류의 크기를 표시할 때 실효값에 √2배를 하면 어떤 값이 되는가 ? ④
① 파고값 ② 평균값 ③ 실효값 ④ 최대값
[해설] 최대값 Vm = √2 V, 최대값은 실효값의 √2배 이다.
4. 매분 500[rpm], 주파수 60[Hz]의 기전력을 유기하고 있는 교류발전기가 있다. 전기각속도 ωt [rad/sec]는 ? ④
① 314 ② 337 ③ 357 ④ 377
[해설] 각속도 ω = 2πf = 2π × 60 = 377
5. 각속도 ω =376.8 [rad/s]의 정현파 교류의 주파수는 몇 [Hz]인가 ? ②
① 50 ② 60 ③ 100 ④ 200
[해설] 정현파 교류의 주파수 ω =2πf, 376.8 =2πf, f=376.8 / 2π = 60 [Hz]
6. v=Vm sin (ωt+60˚)와 I = Im cos (ωt-70˚)와의 위상차는 ? ②
① 20° ② 40° ③ 60° ④ 130°
[해설] 같은 파형의 변형 v=Vm sin (ωt+60˚)
I = Im cos (ωt-70˚) = Im sin (ωt-70˚+ π/2) = Im sin (ωt+20˚)
위상차 : θ = θ1 - θ2 = 60° - 20° =40°

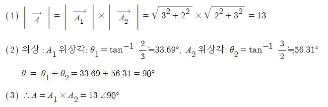
8. 두 벡터 A1= 3+j2, A2=2+j3 이 있다. A = A1 × A2 라고 할 때 A는 ? ③
① 13 ∠0° ② 13 ∠45° ③ 13∠90° ④ 13∠135°
[해설] 복소수 계산 (극좌표법)

9. 가정용 전원 220 [V]라는 것은 어떤 값을 말하는가 ? ①
① 실효값 ② 최대값 ③ 순시값 ④ 평균값
[해설] 실효값 : 일반적으로 사용되는 값으로 교류의 각 순시값의 제곱에 대한 1주기의 평균의 제곱근을 말한다.
'소방설비기사 (전기) > 소방전기일반' 카테고리의 다른 글
| 교류 R-L-C 직렬 회로, R-L-C 직렬 공진 (0) | 2023.02.12 |
|---|---|
| 교류회로의 기본 소자 : 수동 소자 (0) | 2023.02.11 |
| 인덕턴스 합성과 전자 에너지 (1) | 2023.02.09 |
| 자기유도 (Self induction) 작용과 상호 유도 작용 (0) | 2023.02.08 |
| 전자 유도 현상 : 패러데이의 법칙 등.. (0) | 2023.02.07 |




