【 목 차 】
1. 전해질과 비전해질
2. 산과 염기
3. 산과 염기의 세기
4. PH 척도
5. 중화반응
1. 전해질과 비전해질

▣ 전해질은 물에 녹아서 전기를 전도하는 이온의 용액을 말한다. 대부분의 전해질은
Na+, Cl-, K+, Br- 와 같이 이온 결합 물질이 많은데 HCl은 Cl의 최외각 전자가 7개 H
의 최외각 전자 1개가 공유결합을 하는데 워낙 Cl이 전자를 당기는 힘이 세서 물분자를
만났을 때 물분자의 수소(H)쪽은 마이너스(-)인 Cl이 감싸고 물 분자의 산소쪽은 H가
감싸서 이들 원소들은 떨어져서 H+, Cl- 이온으로 만들어 질 수 있다. 따라서 이온 결합
물질은 물에 잘 녹고 그외 몇몇 공유결합 물질도 물에 잘녹아 이온으로 쪼개져서 전기를
통할 수 있다.

▣ 비전해질은 설탕이나 알코올 같은 분자로 되어 있는 화합물들을 설탕은 분자식이 큰데
쪼개지지 않고 탄소, 수소, 산소가 다 공유결합으로 되어 있어 이온화가 되지 않는 물질
인데 비전해질이라고 해서 다 물에 녹지 않는 것이 아니라 즉 배전해질은 단순히 믹싱,
혼합만 되어 있어서 이온을로 쪼개지지 않으면 비전해질이다.

▣ 강전해질은 물에 녹을 때 이온화가 많이 되는 물질이다. 이온으로 쪼개지는 비율이
70~100(%) 까지는 강전해질이다. 그런데 KCl 같은 경우는 K+Cl- 라서 거의 98[%]
녹으니까 강전해질인데 아세트산은 입자 100개중에 1.3개만 이온화되고 나머지는
이온화되지 않는다. 이런 경우 약전해질이라고 부른다.
가. 강전해질과 약전해질의 전기전도도 비교

▣ 강전해질 예를들면 소금은 이온이 많아 전기를 잘 통하고 HF, 불산이라고도 하고 프로린
화 수소산은 산성이 약하다. 산성은 약한데 유리같은 물질을 잘 녹이는 성질이 있어 반도
체 웨이퍼를 녹이는 식각, 세정 이런 부분에 많이 쓰이는 등 우리나라 전자산업에 많이
사용되는 물질이다. 산성 자체로 보면 이 화합물은 물에 녹았을 때 대부분 HF라는 분자
로 존재하고 아주 작은 비율만 이온이 되기 때문에 전기가 조금 밖에 흐르지 않는다.
순수한 물이 전기를 흐르지 않는 이유는 이온이 없기 때문은 아니고 물은 오억오천오백
만 분자중 딱 한개만 쪼개진다. 10억개중에 1.8개 정도 비율로 쪼개지기 때문에 워낙
이온이 너무 작아서 전기가 흐르지 않는다.
나. 강전해질과 약전해질의 종류

▣ (+1), (-1) 이 만나면 물에 잘 녹는데 예외로 AgCl, AgBr, AgI는 물에 잘 녹지 않는다.
(+2), (-2), Ehsms (+3), (-3) 이들이 만나면 침전물이 생긴다. 플러스(+)는 1족 원소
와 암모늄 이온이 물에 잘 녹는다. 마이너스는 CH3COOH-, NO3-, ClO4- 등이 물에 잘 녹는다.
▣ 강전해질은 강산과 강염기 물질이 되고
▣ 약 전해질은 약산과 약염기 물질들이 많다.
2. 산(Acid)과 염기(base)
가. 아레니우스 (Arrhenius) 산

▣ 산이란 수용액 즉, 물에 녹였을 때 H+ 이온을 생성할 수 있는 물질을 말한다.
※ 아레니우스의 산과 염기의 한계는 물에 녹았을 때 산은 H+를 내놓고 염기는 물에
녹았을 때 OH-를 내놓는다는 것인데 수용액이 아닌데도 산,염기를 나타내는 기체가 있다.
▣ 산의 일반적인 성질은 신 맛을 내고 푸른색 리트머스 시험지를 빨간색으로 변화시킨다.

▣ 금속의 이온화 경향이란 금속이 전자를 버리고 플러스(+)가 되고자 하는 성질을 말한다.
예를 들면 아연과 염산을 반응시킬기 위해 염산용액에 아연을 넣었다 하면 염산용액은
H+도 2개, Cl-도 2개 만들어 진다. 위 그림에서 안연은 수소보다 이온화 경향이 커서
전자를 잘 버린다. 염산에 아연을 넣으면 아연은 기분이 나쁜 상황이 된다. 아연 보다
이온화 경향이 낮은 수소가 플러스(+)가 되어 있기 때문이다. 그래서 아연은 전자 2개를
내놓고 Zn2+가 되어 녹아 들어가게 된다. 2개의 Cl-는 이제 결합을 바뀌게 된다.
수소는 전자를 받아서 H2 기체가 되어 기포가 생겨 날아가 버린다. 따라서 금속의 이온화
경향에 수소가 들어가 있는 이유는 수소보다 왼쪽에 있는 것들은 산에 다 녹는 물질로
수소기체를 발생시킬 수 있다. 반면 수소보다 오른쪽에 있는 물질들은 그렇지 못하다.
산의 공통된 반응은 금속중에서 자신보다 반응성이 큰 금속들과 반응해서 수소(H2)기체를
생성하는 것이 산의 공통된 특징이다.

▣ 산의 마이너스(-)와 염기의 플러스(+)가 만나서 생긴 부산물을 염이라고 한다. 산들은
탄산이온과 반응하면 짝 바꾸기를 한다. H+, Cl-와 Ca2+, CO32- 는 물에 잘 안녹지만
H+와 Cl- 이들은 서로 짝을 바꾸어 물에 녹게 된다. 이렇게 반응해서 탄산이 탄산이 되고
이산화탄소가 되고 물이되는데 이 반응이 탄산수를 만들 때의 반응과정이다.
▣ 분필가루가 CaCO0이고 염산 HCl이 서로 반응하면 부글부글 끓게 되는데 이는 이산화
탄소(CO2)가 발생하기 때문이다.
나. 아레니우스 (Arrhenius) 염기

▣ 염기는 수용액 중에서 OH- 이온을 생성하는 물질이다.
▣ 염기는 쓴 맛이 나고 달고나에 들어 있는 소다(NaHCO3)는 쪼개지면서 Na2, CO3가
되는데 이 물질이 염기성 물질이라서 달고나를 먹고 나면 끝 맛이 쓰게 된다.
다. 브뢴스테드 - 로리 (Bronsted-Lowry)의 산과 염기
▣ 브뢴스테드 산 : 양성자 (H+)를 줄 수 있는 물질
▣ 브렌스테드 염기 : 양성자 (H+)를 받을 수 있는 물질

▣ 수소는 가운데에 양성자가 하나 있고 바깥에 전자가 하나 있는데 H+가 되었다는 것은
전자하나늘 버렸다는 것이다.
▣ 브렌스테드의 산은 양성자 (H+)를 줄 수 있으면 무조건 산이고 염기는 양성자 (H+)를
받을 수 있으면 무조건 염기라고 한다. HCl은 산이다. H+를 내 놓는다. 그래서 물이 H+를
받아서 H3O+가 되고 이 반응의 부산물인 Cl를 짝염기라고 한다. 어떤 산에서 플러스를 내놓고
남은 부산물은 염기가 되는데 위 식에서 H3O+ 는 염기의 짝산이 된다.
※ H+는 가운데 양성자가 하나만 있어 다른 마로 프로톤이라고 부른다.
※ 물은 양성자(H+)를 줄 수도 있고 받을 수도 있어 양쪽성 물질이다.

[풀이]

라. 지시약이란 ?

▣ 화학물질의 산, 염기를 판별해 주는 것을 지시약이라 한다.
▣ 페놀프탈레인은 많이 쓰이는 지시약인데 산성과 중성에서는 무색인데 염기에서는 빨간색이 된다.
마. 지시약의 색 변화

▣ 지시약 마다 색상의 영역이 다르다.
※ PH가 7이면 중성이고 왼쪽은 산, 오른 쪽은 염기이다.
지시약도 약간의 산성 성분이 있기 때문에 산쪽에서 더 변하는 경우와 염기에서 더
변하는 경우가 있다.
3. 산과 염기의 세기
가. 강산의 정의

▣ 강산은 물에 녹으면 완전히 이온화하는 산을 말한다.
▣ HCl 기체를 물에 녹이면 100[%] 이온화하여 H+와 Cl-가 된다. 따라서 강산 HCl의
이온화 과정에서는 수용액에 HCl이 남아 있지 않다.
나. 강산의 종류

▣ 강산의 종류에는 염산, 질산, 황산 등이 있는데 이들은 대부분 17족의 원소들로 구성된다.
▣ 염소보다 브롬이 브롬 보다 요오드가 이온화 경향이 크기 때문에 전자가 떨어지기 쉽다.
염산보다 브로민화수소산, 아이오딘화수소산이 점점 더 강산이 된다.
▣ 산에는 산소가 있다. 산소와 수소가 있다. 산의 화학식에 산소가 들어 있는 산을 옥소에시드 산소산이라고 한다.
▣ 산소산은 특징이 정해져 있다. 산소산의 분자를 구성하는 산소의 수에서 수소의 수를 빼서 2보다 크거나 같으면
강산이라고 한다. 전자의 비편재화를 통해 음이온이 안정화 되 는 정도가 커서 H+가 잘 떨어진다.
▣ 산소가 없는 비 산소산의 경우에는 예를 들어 HCN, HF 등이 있는데 염산을 기준으로
하여 그 밑에 있는 원소들이 강산이다.
다. 강염기의 종류

▣ 강염기는 물에 녹으면 완전히 이온화되는 염기물질을 말한다. 보통 OH-가 있는 수산화,
리튬수산화나트륨, 수산화칼륨 등이 있다. 1족과 2족 원소들로 구성되어 있다. 2족에서 위에 있는
베릴륨(Be), 마그네슘(Mg)은 무시한다. 베릴륨(Be)은 금속이라기 보다 비금속의 성질을 많이 가지고 있어
특이한 성질의 물질이다.
마그네슘(Mg)은 수산화 마그네슘(MgOH2)인데 이 물질은 겔포스 형태로 먹는 위산
중화제이다. 이 물질이 강염기라면 먹는 순간부터 혀부터 시작하여 단백질이 다 녹아야
한다. 수산화마그네슘은 물에 너무 안 녹는 물질이라서 약한 염기로 작용한다.
라. 약산과 약염기

▣ 약산인 불산이 이온화 되는 과정을 보면 화살표가 양쪽으로 있다는 것은 정반응과 역반응이 함께
일어난다는 것을 나타낸다. 불산은 분자 100개 중에서 물이 녹으면 10개 정도가 이온화된다.
▣ 암모니아는 물에서 수소를 떼와야만 물을 OH-로 만들수 있다. 암모니아도 물에 녹으면
분자 100개 중에서 1.3개 정도가 이온화 된다.
마. 약산과 약염기의 종류

▣ 강산 기준 산소의 개수 빼기 수소 개수가 2보다 크거나 같다의 기준을 총족시키지 못하는 분자구조가 약산이다.

▣ 약염기는 암모니아(NH3) 기준이다. 암모니아에 에틸아민의 경우는 암모니아의 H하나에
다른 원소가 온 것 것이다. 피리딘은 암모니아의 3개 H를 대헤하여 다른 물질이 고리
형태로 결합한 것이다.
※ 약 염기는 간단하게도 기준이 암모니아다. 암모니아에 수소를 대신해 다른 물질이 결합
하면 약염기가 되므로 뒤집으면 탄소화합물에 중간, 중간에 누가 바뀌었다면 산소와 수
소로 된 탄화수소에서 알았듯이 탄소화합물 중간 중간에 질소가 있다면 이것은 암모니아에서
온 물질이라서 약 염기라고 생각하면 된다. 따라서 DNA 염기는 왜 염기라고 부 를까?
DNA 염기는 다음과 같은 분자구조이다.
바. 약염기의 특징

▣ 복잡한 탄소화합물 중간 중간에 질소가 있는 경우가 약염기이다. 즉, 탄소화합물에 질소가 있으면 모두 약염기가 된다.
※ 자연계에 있는 산염기가 몇 천만 가지이다. 구별법으로 식별하게 된다.
사. 강산과 강염기 구별법

▣ 강산은 산소한은 산소 개수 빼기 수소 개수 하여 이것이 2보다 크거나 같다. HCl < HBr < HI 이다.
▣ 강염기는 1족 원소들로 구성되어 있다. 2족 원소중에서는 베릴륨(Be)와 마그네슘(Mg)은 아니다.
▣ 탄산수소나트륨은 NaOH와 H2CO3인 결합한 화합물인데 H2CO3가 탄산이다. NaOH는 수산화나트륨이다.
탄산은 산소 3 - 수소2 = 1 이므로 약산이다. 수산화 나트륨은 강 염기이다.
강염기와 약산이 만나서 남은 부산물이 탄산수소나트륨(NaHCO3)이니까 강한 쪽을 따라 간다.
따라서 약 염기이다.
예제) 다음 산들이 강산인지 약산인지 쓰시오.

※ 강산 기준 : 강산의 분자를 구성하는 물질중 산소 개수 - 수소 개수 ≥ 2
예제) 황산가스와 아황산가스 중 더 산성인 가스를 고르시오.

예제) NaClO는 산성일까, 염기성 물질일까 ?
▣ 이온결합물질은 NaOH + HClO 이렇게 산과 염기 물질이 만난 결합물이라고 생각하면 된다.
NaOH는 강염기, HClO는 약산인데 강한 쪽을 따라가야 하므로 염기성을 띤다. HClO는 락스이다.
아. 일반적인 산과 염기의 용도

▣ 산은 부식성이 강하고 신맛을 내고 세척, 폭발물 등에 사용된다.

▣ 염기는 비료, 제산제, 알칼리 축전지, 세제 등에 사용된다.
4. PH 척도

▣ 물은 분자 오억오천오백만개 중에 하나가 쪼개져서 H2O가 H+와 OH-로 나뉘어진다.
즉, 물분자 10억개 중에 1.8개의 농도를 계산하면 1×10-7이 된다. 중성인 물은 H+,
OH-의 개수가 같다. 두개를 곱하면 1×10-14이 된다. 이것도 물이 이온화 되는 반응의
평형상수이다. 평형상수는 일정하므로 한쪽이 많아지면 다른 쪽이 작아진다. 산성은
H+가 많으므로 OH-가 작아진다. 그런데 평형상수 [H+] × [OH-]는 같아야 한다.
염기성도 마찬가지이다.

▣ 중성이면 산, 염기가 1×10-7이므로 이것을 기준으로 척도를 만들었다.

▣ -log [H3O+] 이 물질은 [H+]와 마찬가지이다. 이것을 하이드로늄 이온이라고 부른다.
[H3O+], [H+] 의 로그에 마이너스(-)를 붙인 것이 PH이다.

▣ PH 가 6이라면 [H+] 농도가 1×10-6 이므로 중성일 때 [H+] 농돟가 1×10-7이므로
[H3O+] 즉, [H+] 의 농도는 중성일 때 농도보다 10배 증가한 것이 된다.
5. 중화반응
가. 중화반응의 정의

▣ 산과 염기가 만나서 물을 만들고 이온 결합물을 만드는데 이 이온결합물질을 염이라고 한다.
즉, 물과 염을 생성하는 것을 중화반응이라고 한다.
나. 중화반응의 모식도

▣ 중화반응이 왜 생기는가 ? H+가 있다. OH-가 마이너스이르로 H+ 하나를 주면 N+와 X-가 만나서 가열하면
염이 결정으로 떨어지고 물이 증발하고 이런 중화반응이 발생한다.
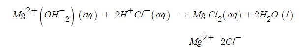
예제) 처방전 없이 살 수 있는 제산제는 일반적으로 수산화 마그네슘 [Mg(OH)2] 현탁액이다.
이 용액이 위산 (HCl, 염산)과 만나면 다음과 같이 중화반응 한다. 다음 중화반응 화 학식으로 쓰시오.

[풀이]

예제) 질산을 수한화 포타슘(칼륨)으로 중화 반응식을 쓰시오.

다. 염(Salt)의 생성
▣ 산과 염기중 강한 쪽을 따라간다 !!!

[풀이]

'소방설비기사 (전기) > 소방원론' 카테고리의 다른 글
| 엔트로피와 자유에너지 - 기초 화학 (0) | 2022.12.13 |
|---|---|
| 산과 염기의 평형 - 기초 화학 (0) | 2022.12.11 |
| 평형상수와 르샤틀리에 원리 - 기초 화학 (2) | 2022.12.06 |
| 가역반응과 화학평형 (0) | 2022.12.05 |
| 화학 반응 속도 - 기초 화학 (4) | 2022.12.04 |
