【 목 차 】
1. 가역반응과 비가역 반응
2. 화학평형
3. 평형상수
4. 농도평형상수와 압력 평형 상수
5. 평형상수의 응용
1. 가역반응과 비가역 반응
가. 가역반응
▣ 정반응(반응물에서 생성물)과 역반응(생성물에서 반응물)이 모두 일어나는 반응
나. 모든 화학반응 : 원론적으로 가역반응
다. 비가역 반응
▣ 역반응이 너무 느리거나 조금 일어나서 정반응만 일어나는 것 처럼 보이는 반응

※ 비가역 반응의 예로 이온결합 물질이 침전되는 경우로 이 앙금은 물에 잘 녹지 않아 앙금이 생기는 것이므로
역반응이 거의 일어나지 않는다. 이 앙금의 경우에는 10-15 비율로 역반응이 일어난다.
※ 강산과 강염기가 만나 중화반응을 하는 경우로 강산과 강염기는 100[%] 이온화 할 수있는 물질이고
이온화하여 H와 OH가 만나 물이 되는데 물은 자연상태에서 오억5천 오백만개 중의 하나만 역반응이 일어난다.
약산인 아세트산 (CH3COOH)은 1.3[%] 만 이온화되어 불안정하다.
즉, 약산이 들어 있는 물질의 중화반응은 불안정하여 물을 쪼개서 원래의 산으로 가려는 성향이 있어 가역 반응을 한다.
※ 비가역 반응에는 기체 생성반응으로 연소가 되어 날아가 버리는 경우와 금속이 산화되 는 반응이 있다.
2. 화학평형
가. 화학평형
▣ 정반응의 속도와 역반응의 속도가 같아져서 외부에서 보기에 변화가 없는 것 처럼 보이는 상태를 화학평형이라 한다.

※ 실제 화학반응은 동적 평형 상태이다. 실제 반응은 계속 일어나고 있는데 정반응과
역반응의 속도가 같아서 반응이 일어나고 있지 않는 것 처럼 보이는 것 뿐이다.
나. 포화용액의 동적 평형

▣ 포화용액의 동적 평형은 다 녹지 못한 용질과 용해된 물질 사이에 계속하여 왔다 갔다 하는 상태를 말한다.
다. 포화용액의 동적 평형의 예시

▣ 물에 흰설탕을 녹이면 전체적으로 투명한 물이 된다. 이 때 흰설탕이 남아 있는 것은
포화용액이 되었기 때문이다. 여기에 노란색 각 설탕을 넣으면 만약에 포화용액이
다 녹아서 더 이상 녹지 않는 개념이라면 노란색 설탕을 넣어도 더 이상 녹지 않아야
되는데 노란색 설탕을 넣으면 노란색 설탕물로 변한다. 그 이유는 노란색 설탕이 용해
되면 그 만큼 흰설탕이 석출되는 반응이 반복되기 때문이다. 즉, 계속하여 녹고 석출
되는 과정이 반복된다. 이런 과정을 통해 연한 노란색이 되고 이렇듯 화학반응의 평형은
동적평형이라고 할 수 있다.

▣ N2O2 와 NO2 실험의 예를 많이 드는 이유는 색깔이 무색과 갈색으로 뚜렷하기 때문이다.
무색인 비어커는 N2O2 만 있다는 것이고 갈색이 짙어진다는 것은 NO2 가 생긴 다는 것이다.
평형상태는 반응물의 농도와 생성물의 농도가 같아지는 상태를 말한다.
▣ 평형은 초기에 반응물 또는 생성물만 있어도 도달이 가능하며 초기에 반응물과 생성물의 혼합물이
있는 경우에도 상관없이 평형상태에 도달한다. 평형상태에는 반응물과 혼합물이 함께 있는 상태이다.

3. 평형상수
가. 평형
▣ 정방향과 역방향 반응속도가 동일하게 진행되는 상태를 말한다.

※ Kc 를 평형상수라고 부를 수 있는 이유는 반응물 농도와 생성물의 농도는 변하지 않으므로 일정한 값이 된다.
분모는 반응물 농도, 분자는 생성물 농도이며 물질의 계수는 차수로 올려 지수가 된다.
[ ]안은 몰농도이며 몰농도 제곱을 물농도로 나누었는데 단위에 몰농도가 남아있지 않은 것은 몰농도는
단위가 없기 때문이다. 평형일 때 농도 그 숫자만 사용하기 때문이다.
나. 평형 농도를 이용한 평형상수 계산 (실험적 근거)

다. 평형상수 계산


▣ 74[℃]에서 이 반응의 Kc = 216 이다.
라. 평형상수의 크기로 부터 알 수 있는 사실

마. 불균일 평형
▣ 불균일 (heterogeneous) 평형
⊙ 가역적 화학반응에서 화학종이 모두 같은 상이 아닐 때의 평형

⊙ 평형 상수식에 단위가 없는 이유 : 사용되는 평형 농도가 사실은 농도/1M로 단위를 없앤 값이다. (활동도)
⊙ 순수한 고체나 액체의 경우 농도의 변화가 없으므로 활동도 = 1 로 한다.
⊙ 평형 상수식의 평형 농도 자리에 순수한 고체나 액체는 "1"을 사용하는 것이므로 식에 나타나지 않는다.
※ 위 화학반응식에서 기체와 고체가 만나서 기체가 되는 반응인데 이렇게 상이 다른 반응에서의 평형을
불균일 평형이라고 한다.


▣ 금속의 이온화 경향 : 금속물질이 전자를 잘 버리는 정도
K > Ca > Na > Mg > Al > Zn > Fe > Ni > Sn > Pb
H > Cu > Hg > Ag > Pt > Au
바. 평형상수의 변형




4. 농도평형상수(Kc)와 압력평형상수(Kp)
가. 압력평형상수 (Kp)
▣ 반응물과 생성물이 모두 기체일 때 몰농도를 측정하는 것 보다 기체의 부분압력(atm)을 측정하는 것이 훨씬 간단하다.
⊙ 이 때에도 단위는 생략하며 실제로 평형상수식에 사용되는 기체의 부분압력은 기체의압력 / 1atm 인 활동도 값이다.

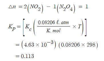
나. 농도평형상수(Kc)와 압력평형상수(Kp) 사이의 변환

※ 일반적인 경우 압력 평형상수는 농도 평형상수에 RT의 델타n승의 곱으로 표현한다.

[풀이]

5. 평형상수의 응용
가. 평형상수를 이용한 평형농도 계산


[농도 계산 절차]
1. 반응표를 만들고 초기 농도를 표시 (농도가 0인 것도 표시)
2. 소모되는 특정 화학종의 양을 x로 두고 반응의 화학양론을 이용하여 다른 반응물과
생성물의 농도 변화량을 x를 사용하여 표시
3. 평형에 있는 각 화학종의 평형농도를 물질의 초기 농도와 x를 사용하여 표시
4. x를 구하기 위해 3에서 구한 평형 농도를 평형 상수식에 대입
5. 계산된 x값을 이용하여 평형에 존재하는 모든 화학종의 농도를 결정

[풀이]
가장 중요한 단계 : 반응표 쓰기 !!


[평형상수를 이용한 평형농도 계산]



[평형상수를 이용한 평형농도 계산]

[풀이]

'소방설비기사 (전기) > 소방원론' 카테고리의 다른 글
| 산과 염기 - 기초 화학 (2) | 2022.12.08 |
|---|---|
| 평형상수와 르샤틀리에 원리 - 기초 화학 (2) | 2022.12.06 |
| 화학 반응 속도 - 기초 화학 (4) | 2022.12.04 |
| 용액의 농도와 묽은 용액의 총괄성 - 기초 화학 (4) | 2022.12.04 |
| 액체와 고체의 성질 - 기초 화학 (2) | 2022.12.02 |
