문제1. 정태안정도 극한전력이란 무엇인가 ? 정태안정도
① 부하를 서서히 증가했을 때의 극한 전력
문제2. 과도안정 극한 전력이란 무엇인가 ? 과도 안정도
③ 갑자기 사고가 발생했을 때 교란상태를 극복하고 안정적으로 공급하는 극한 전력
문제3. 안정도의 종류 3가지는 ?
정태, 과도, 동태 안정도
문제4. 안정도 향상대책과 관계가 없는 것은 ? ③
① 속응여자방식을 채용한다.
② 재폐로 방식을 채용한다.
③ 역률의 신속한 조정
④ 리액턴스를 조정한다.
문제5. 송전선의 안정도 향상 대책으로 맞는 것은 ? ②
① 단락비를 낮게 한다.
② 접압변동을 작게 한다.
③ 선로의 회선수를 감소한다.
④ 리액턴스가 큰 변압기를 사용한다.
문제6. 다음중에 송전선의 안정도를 향상하는 방법으로 틀린 것은 ? ②
① 변압변동을 작게 한다.
② 직렬리액턴스를 크게 한다.
③ 발전기의 입출력의 불평형을 해소하기 위하여 제동저항기를 설치한다.
④ 중간 조상방식을 채용한다.
문제7. 차단기의 고속도 재폐로 방식 채용목적은 ? 안정도 향상
문제7-1. 송전계통에서 안정도 향상과 관계없는 것은 ? ④
① 리액턴스 감소 ② 재폐로 방식 채용
③ 속응여자방식 채용 ④ 차폐선 설치
문제8. 중간조상방식이란 ?
① 송전선로의 중간에 동기조상기 연결
문제9. 전력계통의 안정도 향상대책으로 옳지 않은 것은 ? ③
① 계통에 직렬 리액턴스를 작게 한다.
② 고속도 재폐로 방식을 채용한다.
③ 지락전류를 크게 한다. (지락전류는 계통에 충격을 많이 준다)
④ 고속도 차단방식을 채용한다.
문제 10. 송전계통의 안정도 향상 대책으로 옳지 않은 것은 ? ③
① 직렬 콘덴서로서 선로의 리액턴스를 보상한다.
② 기기의 리액턴스를 감소한다.
③ 발전기의 단락비를 작게 한다.
④ 계통을 연계한다.
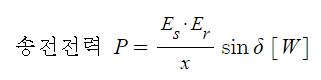
문제 11. 송전전력 계산식은 ?

문제 12. 송전전압 161[kV], 수전단 전압 154[kV]이고 상차각이 40˚이며 리액턴스가
45[Ω]일 때, 송전전력은 얼마인가?

문제13. 송전선로의 정상상태 극한 최대 송전전력은 선로 리액턴스와 대략 어떤 관계인가 ? ④ 반비례 관계
문제14. 교류송전에서 송전거리가 멀어질수록 송전가능 전력이 줄어든다. 그 이유가 무엇인가 ? ②
송전길이 (L) ↑ ⇒ 송전전력 P (↓) 선로의 유도성 리액턴스가 커지기 때문이다.
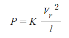
문제 15. 송전선로에 송전용량이 일정한 때 송전용량 계수법에 의한 수전전력을 나타내는 식은 ?

문제16. 154[kV] 송전선로에서 송전거리가 L=154[km]이다. 송전용량 계수법에 의한
송전용량은 얼마인가 ? 단, 송전계수는 1200 이다.

※ 154[kV]는 공칭전압으로 송전단 전압이지만 이상적인 송전이라고 가정을 하면
이상적인 송전에서는 손실이 없으므로 송전단 전압이 수전단전압을 대신할 수 있다.
공칭전압 = 송전단 전압이다.
문제17. 재폐로 차단기에 대한 설명중 옳은 것은 ? ③
③ 이 차단기는 송전선의 고장구간을 고속으로 차단하고 재송전하는 조작을 자동으로
시행하는 재폐로 차단기를 겸비한 자동차단기이다.
'전기인이 되는 길 > 전력공학' 카테고리의 다른 글
| 표준충격파 전압 (0) | 2021.09.07 |
|---|---|
| 기준충격절연강도 (BIL : Basic Impulse Insulation Level) (0) | 2021.09.07 |
| 안정도 및 송전전력, 안정도 향상 대책 (0) | 2021.09.06 |
| 통신선 전자유도 장해 (0) | 2021.09.06 |
| 정전유도장해 (0) | 2021.09.06 |
