▣ 유도장해
⊙ 우리나라에서는 지형 관계상 송전선과 통신선이 근접하여 건설될 경우가 많다.
전력선이 통신선에 근접하여 지날 때는 통신선에 전압 및 전류를 유도해서
다음과 같은 여러가지 장해를 주게 된다.
① 정전유도 장해 - 상호정전용량 Cm
② 전자유도 장해 - 상호유도작용 Lm
③ 고조파 유도장해 - 3의 배수 영상분 고조파

※ 정전유도장해는 전력선과 통신선이 상호정전용량 Cm에 의하여 발생하게 되며
전력선의 영상전압 (Vo)에 의해 발생하는 장해이다.
※ 전자유도장해는 전력선과 통신선의 상호 전자유도 작용(Lm)과 영상전류(Io)에
의해 발생하는 장해이다.
※ 고조파 유도장해는 영상분(3의 배수)고조파에 의해 발생한다.
1. 정전유도장해
▣ 정전유도장해 : 송전선로의 영상전압과 통신선과의 상호정전용량의 불평형에 의하여
통신선에 유도되는 전압으로서 고장시 뿐만아니라 평상시에도 발생한다.
가. 단상정전유도 전압

▣ 전력선과 통신선 그리고 대지사이의 정전용량을 등가변환하면 정전용량을 직렬연결로
변환할 수 있다. 이 등가변환된 회로를 생각하면 통신선에 정전유도장해를 유발하는
정전유도전압 Es를 쉽게 구할 수 있다. 콘덴서의 직렬연결은 저항의 병렬연결과 같은
방법으로 전압을 배분하므로 전압배분을 구할 수 있다.

나. 3상 정전유도 전압
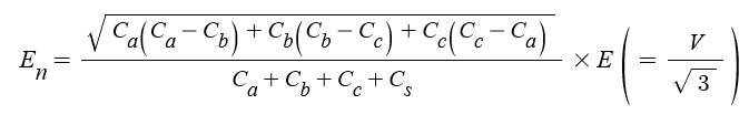
[정전유도전압]
※ 3상 정전유도 전압에서는 통신선의 정전유도전압을 낮추는 식을 염두에 두자.
정전유도 전압(Es)을 영("0")으로 만들려면 위 식에서 분모를 영으로 만들어 주면 된다.
즉 Ca = Cb = Cc 이면 분모가 영("0")이 되어 정전유도전압을 영("0")을 만들 수 있다.
또한 연가를 통해서 선로정수를 평형으로 만들면 정전유도전압을 영("0")으로 만든다.
※ 유의해야 할 사항은 정전유도전압은 전력선과 통신선과의 병행길이와는 무관하다.
2. 연가 : Transposition
가. 연가
▣ 선로정수 평형을 위하여 전 선로구간을 전선로 도중에 개폐소나 연가용 철탑을 이용하여
3등분한 후에 각 구간마다 전선의 위치를 바꿔준다. 정전용량은 거리와 면적과 관련이
있으므로 송전선로에서 전선은 단면적이 같은 것을 쓰므로 영향을 주지 않고 송전선에
대지까지는 거리는 선로 설치 위치에 따라 다르므로 평형을 유지해 주기 위해서 일정한
거리마다 선로의 위치를 조정하여 평형을 유지해 준다.

▣ 정전용량은 거리에 반비례하므로 선로간에는 대지와 거리가 다르므로 정전용량의 불평
형이 발생한다. 따라서 일정한 거리마다 선로의 위치를 변경시켜 선로의 평형을 유지해
주는데 이를 연가라고 한다.

나. 연가의 효과
① 선로정수의 평형을 이루게 한다.
② 중성점의 잔류전압을 억제한다.

※ 중성점 잔류전압 : 보통 운전상태에서 이론적인 중성점 전위는 영("0") 전위이다.
따라서 중성점을 접지하더라도 중성점으로 부터 대지에는 전류가 흐르지 않는다.
그러나 실제로는 각선의 정전용량 Ca, Cb, Cc 간에 약간의 정전용량 차이가 있어
중성점에는 다소의 전위를 가지게 된다.
이처럼 보통의 운전상태에서 중성점을 접지하지 않을 경우 중성점에 나타나게될
전위를 잔류전압이라고 한다.
잔류전압의 발생원인은 여러가지가 있지만 그 중에서 가장 주된 것은
"연가의 불충분"이다.
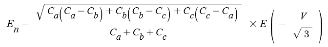
▣ 중성점 잔류전압

위 식과 같이 중성점 잔류전압을 없애려면 Ca = Cb = Cc가 되면 (연가를 하면) 중성점
잔류전압은 영("0")이 된다.
③ 3상 정전유도전압을 낮추어 통신선의 유도장해를 낮출 수 있다.

④ 소호리액터 접지방식에서 잔류전압을 억제하여 직렬공진에 의한 전압상승을 방지한다.



【연가 효과 (요약)】
① 선로정수의 평형을 이룰 수 있다. (3등분)
② 중성점 잔류전압을 억제할 수 있다.

③ 3상 정전유도 전압을 낮출 수 있다.

※ 3상정전유도전압을 낮추어 통신선의 유도장해를 낮출 수 있다.
④ 소호리액터 접지에서 직렬공진에 의한 전압상승을 억제할 수 있다.
'전기인이 되는 길 > 전력공학' 카테고리의 다른 글
| 안정도 및 송전전력, 안정도 향상 대책 (0) | 2021.09.06 |
|---|---|
| 통신선 전자유도 장해 (0) | 2021.09.06 |
| 소호리액터 접지 (직접접지 특징과 정반대) (3) | 2021.09.03 |
| 직접접지 방식 - Y결선, 다중접지방식 등 (0) | 2021.09.03 |
| 비접지 방식 (△결선)의 특징 (0) | 2021.09.03 |