1. 통신선 전자유도 장해
▣ 전자유도장해
⊙ 송전선에 1선 지락사고 등이 발생하여 영상전류가 흐르게 되면 통신선과 전자적인
결함에 의해 통신선에 커다란 전압 및 전류를 유도한다. 이로인해 통신기기나 통신
종사자에게 손상을 입히거나 통신을 불가능하게 하는 장해를 일으키게 된다.

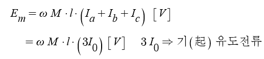
▣ 한상분의 전자유도 전압

▣ 3상 합성 전자유도 전압

가. 전자유도 전압

나. 상호 인덕턴스 크기 계산 : 계산식 만든 사람 - 카슨 플라젝
2. 통신선 유도장해 경감대책 (제58강)
가. 근본대책 : 전자유도 전압(Em)을 경감시킨다.

① 상호 인덕턴스 크기를 줄인다.
② 통신선과의 병행길이를 단축한다.
나. 전력선측 대책
① 전력선을 통신선으로 부터 멀리 건설한다.
② 전력선과 통신선을 직각(수직) 교차하여 건설한다.
③ 중성점 접지선에 고저항을 설치하여 지락전류를 줄인다.
※ 소호리액터 접지방식을 채택한다.
④ 고속도 지락보호계전방식을 채택하여 고장구간을 신속히 차단한다.
⑤ 차폐선을 설치한다.

※ 차폐선을 설치하면 전자유도장해를 30~50[%] 감축할 수 있다.
다. 통신선측 대책
① 통신선 도중에 중계코일(절연변압기)를 설치하여 구간을 분할한다.
⇒ 병행길이(L)를 단축할 수 있다.

③ 통신선에 우수한 피뢰기(LA)를 설치한다.
※ 피뢰기(LA)는 전압을 대지로 방전하는 장치이다.

③ 연피케이블을 사용한다. (연피케이블 : 차폐선 효과)
④ 배류코일, 중화코일을 통해서 통신선을 접지해서 유도전류를 대지로 흘려 보낸다.

※ 배류코일 : 저항은 작다. 저항을 줄이면서 인덕턴스를 키운 것이다.
▣ 통신선의 신호는 주파수가 크다. 따라서 통신선의 신호는 배류코일의 임피던스(리액
턴스)를 크게 하여 대지로 방류되지 않지만 통신선 유도전압은 주파가 낮다. 따라서
통신선 유도전압은 배류코일의 임피던스를 작게 하여 대지로 방류되게 된다.
【 문제 풀이】
예제1) 전력선에 영상전류가 흐를 때 통신선로에 발생되는 유도장해는 무엇인가 ? ④
④ 전자유도장해
예제2) 송전선로에 근접한 통신선에 정전유도장해가 발생했다. 어떤 원인에 의하여
발생하는가 ? ① 영상전압
예제3) 송전선로에 근접한 통신선에 유도장해가 발생하였다. 전자유도장해의 원인은 ?
영상전류
예제4) 3상 송전선로와 통신선이 병행하게 된 경우 발생하는 통신 유도 장해로서 통신선에
유도되는 정전유도 전압과 관계가 없는 것은 ? ④

④ 병행 길이 ※ 병행길이는 정전유도전압과 무관하다.
예제 5) 통신선의 정전유도 전압은 ?

예제 6) 66[kV] 송전선로에서 연가불충분으로 인한 중성점 잔류 전압은 ?

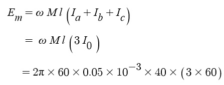
예제 7) 60[kV] 60[Hz] 3상 3선식 1회선 송전선이 통신선과 병행하고 있다.
1선 지락사고로 영상전류가 60[A]가 흐를 때, 통신선에 유기하는 전자유도전압은
약 몇 [kV]인가 ? 단, 선로길이는 40[km], 상호 인덕턴스는 0.05[mH/km]이다.

답 : 135. 72[V]
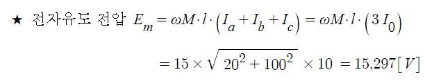
예제8) 3상 송전선에 각 상 전류가 Ia = 220+j50, Ib = -150-j200, Ic=-50+j50
일 때 이선과 병행으로 가설된 통신선에 유기되는 전자유도 전압은 약 몇[V]인가?
단, 송전선과 통신선상간의 상호 임피던스가 15[Ω], 10[㎞] 이다.


예제 9) 통신유도장해 방지대책 일환으로 전자유도전압을 계산하는데 이용되는
인덕턴스 계산식은 ? 카슨 풀라젝
예제 10) 통신선에 대한 유도장해 방지대책으로 가장 적당하지 않은 것은 ? ①
① 전력선과 통신선의 교차부분을 비스듬히 한다.
② 소호리액터 방식을 채용한다.
③ 통신선에 배류코일을 채용한다.
④ 통신선에 절연변압기 (중계코일)을 채용한다.
예제11) 송전선의 통신선에 대한 유도장해 방지 대책이 아닌 것은 ? ①
① 전력선과 통신선간의 상호인덕턴스를 크게 한다.
② 전력선의 연가를 충분히 한다.
③ 고장 발생시 고장전류를 억제하고 고장구간을 빨리 차단한다.
④ 차폐선을 설치한다.
예제 12) 유도장해를 방지하기 위한 전력선 측 대책으로 옳지 않은 것은 ? ④
① 소호리액터 접지를 채용한다.
② 중성점 접지에 고저항을 사용하여 지락전류를 줄인다.
③ 차폐선을 설치한다.
④ 중성점 전압을 가능한 높게 한다.
예제 13) 유도장해 방지대책으로 차폐선을 설치하면 통신선 유도전압을 얼마정도
줄일 수 있나? 30~50 [%]
예제 14) 3상 3선식 송전선을 연가할 경우 일반적으로 전체 선로의 길이를 몇 배수로
구분하는가 ? 3의 배수로
예제 15) 연가의 주된 목적은 ? 선로정수의 평형을 위해...
예제 16) 근접통신선의 유도장해를 줄일 수 있는 방법은 ? 연가
예제 17) 연가의 효과로 틀린 것은 ? ④
① 각상의 임피던스 평형 ② 통신선의 유도장해 방지
④ 소호리액터접지의 직렬공진방지 ④ 작용정전용량 감소
'전기인이 되는 길 > 전력공학' 카테고리의 다른 글
| 안정도 기출문제 풀이 (0) | 2021.09.07 |
|---|---|
| 안정도 및 송전전력, 안정도 향상 대책 (0) | 2021.09.06 |
| 정전유도장해 (0) | 2021.09.06 |
| 소호리액터 접지 (직접접지 특징과 정반대) (3) | 2021.09.03 |
| 직접접지 방식 - Y결선, 다중접지방식 등 (0) | 2021.09.03 |
