문제1. 인덕턴스 L인 코일에 전류 i = Im sin ωt 가 흐르고 있다. L에 축적된 에너지의
첨두(Peak) 값은 ? ③
① 1/√2 LIm2 ② 1/√3LIm2 ③ 1/2 LIm2 ④ 1/2 L2Im2
※ 축적 에너지 W = 1/2 ③ 1/2 LI2 = 1/2 L Im2 sin2 ωt
문제 2. 어떤 코일에 흐르는 전류를 0.5 [ms] 동안에 5[A] 변화시키면 20[V]의 전압이
생긴다. 자기 인덕턴스는 몇 [mH]인가 ? ①
① 2 ② 4 ③ 6 ④ 8

문제 3. 두 코일이 있다. 한 코일의 전류가 매초 40[A]의 비율로 변화할 때 다른 코일에는
20[V]의 기전력이 발생하였다면 두 코일의 상호인덕턴스 [H]는 ? ②
① 0.2 ② 0.5 ③ 0.8 ④ 1.0

문제 4. 다음과 같은 회로에서 i1 = Im sin ωt [A] 일 때 개방된 2차 단자에 나타나는 유기
기전력 e2는 몇 [V]인가 ?


문제 5. 두코일의 자기인덕턴스가 L1 [H], L2[H]이고 상호 인덕턴스가 M일 때 결합계수
K는 ? ②

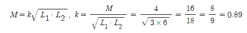
문제 6. 인덕턴스 L1, L2가 각각 3[mH], 6[mH]인 두 코일 간의 상호인덕턴스 M이 4[mH]
라고 하면 결합계수 K는 ? ③
① 0.9 ② 0.44 ③ 0.89 ④ 1.12

문제 7. 회로에서 a, b간의 합성 인덕턴스 Lo [H]의 값은 ? 단, M[H]은 L1, L2 코일
사이의 상호인덕턴스다. ②

① L1+L2+L ② L1+L2-2M +L ③ L1+L2+2M+L ④ L1+L2-M+L
문제 8. 직렬로 유도 결합된 회로이다. 단자 a-b에서 본 등가 임피던스 Zab를
나타내는 식은 ?

④ R1 +R2+R3+ jω (L1 + L2 +L3-2M)
문제 9. 5[mH]인 두개의 자기 인덕턴스가 있다. 결합계수를 0.2로 부터 0.8까지 변화시킬
수 있다면 이것을 직렬로 접속하여 얻을 수 있는 합성 인덕턴스의 최대값과 최소갑은
몇 [mH]인가 ? ④
① 20.8 ② 20.2 ③ 18.8 ④ 18.2

문제 10. 그림과 같이 1개의 콘덴서와 2개의 코일이 직렬로 접속된 회로에 300[Hz]의
주파구가 공진한다고 한다. 콘덴서의 정전용량 및 코일의 자기인덕턴스를 각각 C=25
[μF], L1=4.3[mH], L2=4.6[mH] 라고 하면 코일간의 상호인덕턴스 M값은 약 몇
[mH]인가 ? 단 코일은 같은 방향으로 감겨져 있고 동일 축 상에 있는 것으로 한다. ②


문제 11. 그림의 회로에서 합성 인덕턴스는 ? ②

② (L1·L2 - M2) / (L1+L2 - 2M)
문제12. 20[mH]와 60[mH]의 두인덕턴스가 병렬로 연결되어 있다. 합성인덕턴스 값은 ?
단, 상호인덕턴스는 없는 것으로 한다. ①
① 15 ② 20 ③ 50 ④ 75
※ L = (L1·L2 ) / (L1+L2) = (20×60) ÷ (20+60) = 1200/80 = 15[mH]
문제 13. 다음과 같은 회로의 a-b간 합성 인덕턴스는 몇 [H]인가 ? 단, L1 = 4H, L2 = 4H
L3= 2H, L4 = 2H 이다. ①

문제 14. 전원측 저항 1[kΩ], 부하 저항 10[Ω] 일 때 이것에 변압기 n : 1 의 이상변압기를
사용하여 정합을 취하려 한다. n의 값으로 옳은 것은 ?

문제 15. 그림과 같은 캠벨브리지(Campbell bridge) 회로에 있어서 I2가 0이 되기 위한
C 값은 ? ④

① 1/ωL ② 1/ω2L ③ 1/ωM ④ 1/ω2M
문제 16. 임피던스 궤적이 직선일 때 이의 역수인 어드미턴스 궤적은 ? ③
① 원점을 통하는 직선 ② 원점을 통하지 않는 직선
③ 원점을 통하는 원 ④ 원점을 통하지 않는 원
문제 17. R-L-C 직렬회로에서 각주파수 ω를 변화시켰을 때 어드미턴스 궤적은 ? ①

① 원점을 지나는 원 ② 원점을 지나는 반원
③ 원점을 지나지 않는 원 ④ 원점을 지나지 않는 직선
'전기인이 되는 길 > 회로이론' 카테고리의 다른 글
| 테브난의 정리, 노튼의 정리, 밀만의 정리, 쌍대회로 (0) | 2022.01.02 |
|---|---|
| 회로망의 정리 - 선형회로망, 이상적인 전원, 중첩의 원리 (0) | 2022.01.01 |
| 인덕턴스와 벡터 궤적 - 2, 캠벨 브리지 (0) | 2021.12.30 |
| 인덕턴스와 벡터 궤적 (0) | 2021.12.29 |
| 회로이론 - 교류전력 기출문제 풀이 (0) | 2021.12.28 |
