1. 습식 유수검지장치의 기능 2가지
① 자동 경보 기능 ② 체크 밸브 기능
2. 리타딩 챔버의 기능
① 습식유수검지장치의 오작동 방지
② 안전 장치 기능
③ 배관 및 압력 스위치의 소손 방지
<기능>
▣ 수격 작용으로 인한 순간 압력으로 유입된 물을 오리피스를 통해 자동으로 배수시켜 오작동으로 인한 압력 스위치의
작동을 방지하고 화재시 클래퍼가 개방되어 유입된 물을 챔버내에 가압수가 충만하여 상부에 설치된 압력 스위치를
작동시킨다.
<리타딩 챔버가 설치된 알람체크 밸브 오동작시 점검사항>
① 리타딩 챔버 상단에 설치된 압력 스위치 상태 점검
② 리타딩 챔버 상단에 설치된 압력 스위치의 누전 및 합선 점검
③ 리타딩 챔버 오리피스 점검
3. 자동경보장치의 압력스위치와 압력챔버 압력 스위치의 비교
|
구분
|
자동경보장치 압력스위치
|
압력챔버 압력 스위치
|
|
목적
|
자동경보밸브의 작동신호를 감시제어
반에 보내 화재발생을 알리기 위해
|
배관내 압력 변동을 감지하여 펌프를
기동 및 정지시키기 위해
|
|
차이점
|
리타딩 챔버, 압력 스위치내의 압력
증가시 접점이 붙어 작동
|
압력 챔버내 압력 저하시 접점이 붙어 작동
|
4. 스프링클러 최고 사용압력
|
호칭압력
|
1 MPa
|
1.6 MPa
|
|
수(물)압력
|
1 ~ 1.4 MPa 이내
|
1.6 ~ 2.2 MPa 이내
|
5. 스프링클러설비 시험장치의 역할
① 유수검지장치의 성능 확인 ② 규정 방수량 및 압력 확인 ③ 음향경보장치의 작동 확인
④ 펌프의 자동기동 확인 ⑤ 제어반의 화재표시등, 밸브개방 표시등 점등 확인
6. 건식 스프링클러 설비 : 공기 빠져 나가기 위한 소요 시간 필요 시간을 단축 시키는 기능하는 설비
▣ 엑셀레이터 (Accelator), 익지스터 (Exhauster)
7. 건식 스프링클러설비의 클래퍼 상부에 일정한 수면 유지하는 이유
① 클래퍼에 작용하는 2차측 압력을 균일하게 하기 위해
② 낮은 공기압으로 1,2차측 압력을 동일하게 하기 위하여
③ 클래퍼의 완전폐쇄여부를 확인하기 위해
④ 화재시 클래퍼를 쉽게 개방하기 위해
⑤ 화재시 신속한 소화를 위해
※ 클래퍼 (Clapper) 란 ?
① 영화나 TV 활영에서 사용되는 도구로, 촬영 시작과 종료를 알리는 도구, 보통 클래퍼 보드라고도 불리며 보드에 씌여
진 정보 (예; 촬영번호, 장면번호, 날짜 등)를 기록한 후 두개의 나뭇판을 부딪혀 소리를 내는 방식으로 이후 편집할 때
소리와 영상을 맞추는데 도움을 준다.
② 기계 부품으로서 클래퍼는 주로 기계 장치로서 작동 또는 신호를 전달하기 위해 사용되는 장치이다. 예를 들어 클래퍼
는 자동화된 시스템에서 특정 조건이 충족될 때 작동하여 다른 부품이나 기계에 신호를 보낼 수 있다. 이러한 장치는
기계의 정확한 작동과 효율성을 높이는데 중요한 역할을 한다.
8. 준비작동식 스프링클러설비의 작동 순서
① 감지기 A, B 의 작동
② 수신반에 화재 표시등 및 지구표시등 점등
③ 전자밸브 개방
④ 준비작동식 밸브 개방
⑤ 압력스위치 작동
⑥ 수신반에 밸브 개방 표시등 점등
9. 물분무소화설비의 토출량
|
구 분
|
토출량
|
비 고
|
|
⊙ 컨베이어 밸트
⊙ 절연유 봉입기
|
10 ℓ/min · ㎡
|
-
|
|
⊙ 특수가연물
|
10 ℓ/min · ㎡
|
최소 50 ㎡
|
|
⊙ 케이블 트레이
⊙ 케이블 덕트
|
12 ℓ/min · ㎡
|
-
|
|
⊙ 차고
⊙ 주차장
|
20 ℓ/min · ㎡
|
최소 50 ㎡
|
10. 절연유 봉입 변압기
방사량 Q = 표면적 (바닥부분 제외) × 표준방사량 [㎡] × 10 ℓ/min · ㎡
11. 고압전선과 이격거리
|
전압 [kV]
|
이격거리 [㎝]
|
전압 [kV]
|
이격거리 [㎝]
|
|
66 이하
|
70 이상
|
154 초과 181 이하
|
180 이상
|
|
66 초과 77 이하
|
80 이상
|
181 초과 220 이하
|
210 이상
|
|
77 초과 110 이하
|
110 이상
|
220 초과 275 이하
|
260 이상
|
|
110 초과 154 이하
|
150 이상
|
|
|
12. 미분무
▣ "미분무"란 물만 사용하여 소화하는 방식으로 최소 설계압력에서 헤드로 부터 방출되는 물입자 중 99%의 누적 체적
분포가 400 [㎛] 이하로 분무되고 A, B, C급 화재에 적응성을 갖는 것을 말한다.
13. 미분무 소화설비의 분류
▣ 저압 : 1.2 MPa 이하
▣ 중압 : 1.2 ~ 3.5 MPa 이하
▣ 고압 : 3.5 MPa 초과
14. 미분무 소화설비
▣ 수원의 양 Q = N × D × T × S + V
여기서, Q : 수원의 양 [㎥], N : 방호구역 내 헤드의 개수, D : 설계 유량 [㎥/min], T : 설계방수시간 [min]
S : 안전률, V : 배관의 체적 [㎥]
15. 폐쇄형 미분무 헤드의 표시온도와 주위 온도
Ta = 0.9 Tm - 27.3 ℃
여기서, Ta : 최고 주위온도, Tm : 헤드의 표시온도
<예> 헤드의 표시온도가 79 ℃라면 최고 주위온도는 ?
⊙ Ta = 0.9 Tm - 27.3 ℃ = 0.9 × 79 - 27.3 ℃ = 43.8 ℃
16. 포 워터 스프링클러 설비
▣ 수원의 양 Q = 헤드개수 × 75 ℓ/min × 10 min
17. 포소화설비헤드의 설치 개수
|
구 분
|
설치개수
|
|
|
포워터 스프링클러 헤드
|
1개 / 8 ㎡
|
|
|
포 헤드
|
1개 / 9 ㎡
|
|
|
화재감지용 폐쇄형 스프링클러 헤드
|
1개 / 20 ㎡
|
|
|
압축공기포 소화설비 분사헤드
|
유류 탱크 주위
|
1개 / 13.9 ㎡
|
|
특수가연물
|
1개 / 9.3 ㎡
|
|
18. 포 소화설비 수원의 양
① 고정포 방출구 : Q① = A · Q① · T · S
여기서, A : 탱크의 액표면적 [㎡], Q① : 단위포소화수용액의 방출률 [ℓ/min · ㎡]
T : 방출시간 [min] S : 포소화약제의 농도 [%]
② 보조포 Q② = N · S · 8,000 ℓ (8,000 ℓ = 400 ℓ/min × 20 min = 8,000 ℓ)
여기서, N : 호스접결구 수 : 최대 3개, S : 소화약제 농도
③ 배관보정량 (배관 직경 75 ㎜ 이상에 적용) Q③ = A · L · 1,000 [ℓ]
여기서, A : 배관단면적 [㎡], L : 배관의 길이 [m], S : 소화약제의 농도 [%]
▣ 합계 : Q = Q① + Q② + Q③
19. 옥외 소화전 설치 거리 : 40 m
▣ 2개의 옥외 소화전간의 거리 : 40 m × 2 = 80 m
20. 옥외 소화전함 설치 개수
▣ 10개 이하 - 옥외소화전으로 부터 5m 이내에 각 1개
▣ 11개 ~ 30개 : 11개 이상 소화전함
▣ 31개 이상 : 소화전 3개 마다 1개
21. 스프링클러 표준형 헤드 유출계수 K = 80

22. 스프링클러설비 헤드 방수압력 : 0.1 ~ 1.2 MPa
23. 충압펌프 : 자연압 보다 0.2 MPa 이상 높음
24. 가압송수장치의 종류 : 고가수조, 압력수조, 가압수조, 펌프
25. 신축 이음 : 슬리브 이음, 스위블 이음, 벨로스 이음, 루프, 볼 조인트
26. 가압송수장치의 부품
|
고가수조
|
압력수조
|
가압수조
|
|
수위계
급수관
배수관
오버플우로관
맨홀
|
수위계
급수관
배수관
압력계
안전장치
자동식 공기압축기
맨홀
|
수위계
급수관
배수관
급기관
압력계
안전장치
맨홀
|
27. 스프링클러 헤드 표시온도
|
설치장소의 최고 주위온도
|
표시온도
|
|
39 ℃ 미만
39 ℃ 이상 64 ℃ 미만
64 ℃ 이상 106 ℃ 미만
106 ℃ 이상
|
79 ℃ 미만
79 ℃ 이상 121 ℃ 미만
121 ℃ 이상 162 ℃ 미만
162 ℃ 이상
|
28. 스프링클러 배치 기준
|
설치장소
|
배치기준
|
|
무대부, 특수가연물 (래크식 창고)
|
수평거리 1.7 m 이내
|
|
기타구조
|
2.1 m 이내
|
|
내화구조
|
2.3 m 이내
|
|
래크식 창고 (일반)
|
2.5 m 이내
|
|
공동 주택
|
3.2 m 이내
|
29. 스프링클러설비를 설치해야 하는 층 : 지하층, 4층 이상
※ 교육연구시설(연구소)의 경우 지하층 · 무창층 또는 층수가 4층 이상인 층으로서 바닥 면적이 1,000 ㎡ 이상인 층에는
스프링클러 설비를 설치해야 한다.
30. 수원의 유효수량 1/3 이상을 옥상에 설치하지 않아도 되는 경우
① 지하층만 있는 경우
② 고가수조를 가압송수장치로 설치하는 스프링클러 설비
③ 고압수조를 가압송수장치로 설치하는 스프링클러 설비
④ 수원이 건축물의 최상층에 설치된 헤드 보다 높은 경우
⑤ 건축물의 높이가 지상으로 부터 10 m 이하인 경우
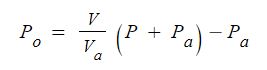
31. 압력수조 내 공기의 압력

여기서, Po : 압력수조내 공기의 압력 [MPa], V : 압력수조의 체적 [㎥], Va : 압력수조내 공기의 체적 [㎥]
P : 필요한 압력 [MPa], Pa : 대기압 [MPa]
32. 스프링클러설비의 가압펌프에 필요한 압력
P = P1 + P2 + 0.1 [MPa]
여기서, P : 필요한 압력 [MPa], P1 : 배관 및 관부속품의 마찰손실수두압 [MPa]
P2 : 낙차의 환산수두압 [MPa], 0.1 : 스프링클러의 규정 방수압력 [MPa]
33. 옥상 수원을 설치하지 않아도 되는 경우
① 지하층만 있는 건축물
② 고가수조를 가압송수장치로 설치한 옥내소화전 설비
③ 가압수조를 가압송수장치로 설치한 옥내소화전 설비
④ 수원이 건축물의 최상층에 설치된 방수구 보다 높은 위치에 설치된 경우
⑤ 건축물의 높이가 지표면으로 부터 10 m 이하인 것
34. 옥내소화전설비의 가압송수장치 4가지
① 고가수조 ② 가압수조 ③ 압력수조 ④ 펌프
35. 충압펌프 설치 목적
▣ 배관내 압력손실에 따른 물의 누설량을 보충하여 주펌의 빈번한 기동을 방지하기 위해
36. 충압펌프의 압력
▣ 최고위 호스접결구의 자연압 보다 0.2 MPa 더 크게 하거나 가압송수장치의 정격 토출량과 같게 할 것
37. 충압펌프의 잦은 기동으로 인한 악영향
① 배관 및 부속품 파손 우려 ② 기동용 수압개폐장치, 압력스위치 소손
③ 제어반 계전기 소손 우려 ④ 펌프모터의 소손
38. 압력수조 방식 : 자동식 공기 보충기
▣ 압력수조내에서 누설되는 공기를 자동으로 보충하여 상시 규정 압력 이상을 유지하기 위하여
39. 기동용 수압개폐장치 (압력챔버)의 기능
① 배관내의 압력 저하시 펌프의 자동기동, 충압펌프의 자동기동 및 정지
② 배관내 수격 방지 기능
③ 배관내의 순간적인 압력변동으로 부터 안정적 압력 감지
40. 기동용수압개폐장치 (압력챔버)
① 역할 : 배관내 압력 저하시 주펌프 가동기동, 충압펌프의 자동기동 및 자동정지
41. 안전밸브 작동범위 : 호칭압력과 호칭압력의 1.3배 이내
42. 압력스위치의 Diff, Range
① Diff : 펌프의 정지점과 기동점의 차, 펌프가 Diff 만큼 압력이 떨어지면 기동한다.
② Range : 펌프의 정지점을 말한다.
43. 펌프의 기동점 : 자연낙차압력 + 0.2 MPa

44. 물올림장치
① 물올림장치에는 전용수조를 사용할 것
② 수조의 유효수량을 100 ℓ 이상으로 하되 구경 15 ㎜ 이상의 급수배관으로 해당 수조에 물이 계속 보급될 것
45. 소방용 배관을 합성수지관으로 설치할 수 있는 경우
① 배관을 지하에 매설하는 경우
② 다른 부분과 내화구조로 구획된 덕트 또는 피트의 내부에 설치하는 경우
③ 천장과 반자를 불연재료 또는 준불연재료로 설치하고 소화배관 내부에 항상 소화수가 채워진 상태로 설치되는 경우
46. 옥내소화전설비의 순환배관내 릴리프 배관의 작동점 : 체절압력 미만
47. 릴리프밸브 압력 : 체절압력 - 정격 압력의 140 % 미만에 셋팅
48. 옥내 소화전 : 특정소방대상물의 각 부분으로 부터 하나의 방수구까지 수평거리 25 m 이내 (호스는 항상 방수구와
연결되어 있어야 한다.)
49. 소방시설물의 설치 높이
|
시설물
|
설치 높이
|
|
⊙ 송수구
⊙ 채수구
⊙ 연결송수관설비 방수구
⊙ 옥외소화전설비 호스접결구
|
0.5 m 이상 1 m 이하
|
|
⊙ 소화기
⊙ 포호스릴함, 포소화함
⊙ 옥내소화전설비 방수구
|
1.5 m 이하
|
|
⊙ 기타
|
0.8 m ~ 1.5 m 이하
|
50. 성능시험 순서
① 주밸브 폐쇄 (펌프 토출측)
② 제어반에서 충압펌프 정지
③ 릴리프 밸브 폐쇄
④ 주펌프 기동
⑤ 펌프 토출측 압려계가 정격압력의 140 % 인지 확인 : (체절압력 시험)
⑥ 릴리프 밸브를 체절압력 이하에서 개방되도록 조절
⑦ 성능시험배관 개폐밸브를 완전히 개방하고 유량조절밸브를 조절하여 정격압력에서 정격 토출압력을 유지하는지 확인
: (정격압력 시험)
⑧ 유량조절밸브를 더 열어 정격유량의 150 %에서 압력이 65 % 이상인지 확인 : (과부하 시험)
⑨ 주펌프 정지
⑩ 성능시험 배관 개폐밸브 폐쇄, 주밸브를 서서히 개방
⑪ 제어반에서 주펌프, 충압펌프를 자동으로 셋팅
51. 옥내소화전설비 방수구 설치 제외 장소
① 냉동창고 중 온도가 영하인 냉장실 또는 냉동창고의 냉동실
② 고온의 노가 설치된 장소 또는 물과 격렬하게 반응하는 물품의 저장 또는 취급 장소
③ 발전소 · 변전소 등으로서 전기시설이 설치된 장소
④ 식물원, 수족관, 목욕실, 수영장(관람석 부분 제외) 또는 이와 유사한 장소
⑤ 야외음악당 · 야외극장 또는 이와 비슷한 장소
52. 맥동현상 (Surging) - 최근 빈출
가. 맥동현상 (Surging) : 유량이 단속적으로 변하여 펌프 흡입측 및 토출측에 설치된 진공계(연성계) 및 압력계가 흔들리
고 진동과 소음이 발생하여 펌프의 토출유량이 변하는 현상을 말한다.
나. 맥동현상의 발생원인
① 펌프의 성능곡선이 산 모양이고 운전점이 그 정상부일 경우
② 배관 도중에 수조가 있을 경우
③ 배관 내에 기체상태의 부분이 있을 경우
④ 유량조절밸브가 배관 중 수조의 후방에 위치해 있을 경우
다. 맥동현상의 방지대책
① 운전점을 고려하여 적합한 펌프를 선정한다.
② 배관 도중에 불필요한 수조를 설치하지 않는다.
③ 배관 내의 기체를 없앤다.
④ 유량조절밸브를 배관 중 수조의 전방에 설치한다.
⑤ 회전차나 안내깃의 형상치수를 바꾸어 그 특성을 변화시킨다.
53. 폭발 상한계 · 하한계 : 르 샤틀리에 공식

ex) 다음 혼합가스의 연소상한계와 연소하한계는 ?
|
가스
|
농도
|
LFL
|
UFL
|
|
A
|
5
|
5
|
20
|
|
B
|
10
|
4
|
10
|
|
C
|
20
|
8
|
20
|
|
공기
|
65
|
|
|
|
합계
|
100
|
|
|
▣ 연소 상 · 하한계

▣ 폭발 가능성 : 폭발하한계 < 농도 < 폭발 상한계 : 5.6% < 농도 < 15.56 % 가스농도 35 % 이므로 폭발 가능성 없음
54. 공동현상 발생 현상
① 펌프의 임펠러를 손상시킨다. ② 소음과 진동이 발생한다.
③ 펌프의 성능이 저하한다. ④ 배관의 부식을 촉진시킨다.
55. 압력관점에서 공동현상의 발생원인 1가지와 방지대책 4가지
가. 원인 : 배관내의 물의 정압이 기존 증기압 보다 낮아지면 발생한다.
나. 방지대책
① 펌프의 흡입양정을 작게 한다. ② 펌프의 설치위치를 수면보다 낮게 한다.
③ 펌프의 마찰손실을 작게 한다. ④ 펌프의 임펠러 속도를 작게 한다.
56. 수격방지대책
① 배관의 유속을 작게 한다. ② 배관의 구경을 크게 한다.
③ 펌프의 토출측 가까운 곳에 밸브를 설치한다.
57. 맥동현상
▣ 유량이 단속적으로 변화하여 소음과 진동이 발생
▣ 방지대책
① 운전점을 고려하여 적정한 펌프 선정한다. ② 배관 도중에 수조를 설치하지 않는다.
③ 배관내 기체를 없앤다. ④ 유량조절밸브를 수조 전방에 설치한다.
⑤ 회전자나 안내깃의 형상치수를 바꾸어 그 특성을 변화시킨다.
58. SPPS : 압력배관용 탄소강관
59. 공동현상 발생원인과 대책
[발생원인]
① 펌프의 흡입양정이 클 때 ② 펌프의 설치위치가 수면보다 높을 경우
③ 펌프의 마찰손실이 클 때 ④ 펌프의 임펠러 속도가 클 경우
⑤ 흡입측 배관구경이 작은 경우 ⑥ 흡입측 배관내 수온이 높은 경우
⑦ 물의 정압이 기존의 증기압 보다 낮은 경우
[방지대책]
① 펌프의 흡입양정을 작게 한다. ② 펌프를 수면보다 낮게 설치한다.
③ 펌프의 마찰손실을 작게 한다. ④ 펌프의 임펠러 속도를 작게 한다.
⑤ 배관의 구경을 크게 한다. ⑥ 양흡입 펌프를 사용한다.
60. 배관구경 : 옥내소화전 : 13 ㎜, 옥외 소화전 19 ㎜
61. 실제흡인양정
▣ NPSH : 물의 높이로 표시된 실제흡입양정을 말하며 펌프가 공동현상을 일으키지 않고 흡입 가능한 압력을 물의 높이
로 표시한 것.
▣ 펌프 설계시 : NPSHav ≥ NPSHre × 1.3
▣ 유효흡입양정 : NPSHav : 펌프의 설치 조건에 따라 결정되는 펌프로 가해지는 흡입측으로 부터의 양정
▣ 필요흡입양정 : NPSHre : 펌프의 기동에 필요한 흡입측 양정을 말하며 펌프의 회전에 의해 만들 수 있는 펌프 내부의
진공도에 의해 결정된다.
▣ 펌프의 송수 조건 : (대기압 - 저항의 합) ≥ 펌프에 의해 형성되는 진공 능력
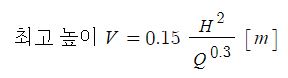
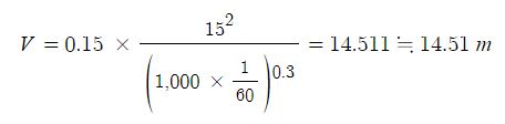
62. 소화수의 도달 최고 높이

V : 적정 소방수류가 도달할 최고 높이 [m], H : 건물로 부터 소화노즐까지의 거리 [m]
Q : 유량 [ℓ/s]
ex) 건물로 부터 소화노즐까지의 거리 15m 이고 유량이 1,000 [ℓ/min]일 때 적정 소방유량이 도달할 수 있는 최고 높이는 ?

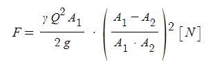
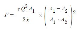
63. 플랜지 볼트에 작용하는 힘

F : 플랜지 볼프에 작용하는 힘 [N], γ : 물의 비중량, Q : 유량, g : 중력가속도,
A1 : 소방호스의 단면적, A2 : 노즐의 단면적
[또 다른 식]
F = P1 · A1 - ρ · Q (V2 - V1) [N]
▣ 노즐의 반발력 : F = ρ · Q · V = ρ · Q · (V2 - V1) [N]
▣ 물의 밀도 : 1,000 [N · s2/m4]
▣ 노즐을 수평으로 유지하는 힘 : F = ρ · Q · V2
▣ 노즐에 작용하는 반동력 : R = 1.57 PD2 [N]
64. 포소화설비의 자동식 기동장치
① 폐쇄형 스프링클러 헤드
㉠ 표시온도가 79 ℃ 미만인 것을 사용하고 1개의 스프링클러 헤드의 경계면적은 20 ㎡ 이하로 할 것
㉡ 부착면의 높이는 바닥으로 부터 5 m 이하로 하고 화재시 유효하게 감지할 수 있도록 할 것
㉢ 하나의 간지장치 경계구역은 하나의 층이 되도록 할 것
65. 포소화설비 팽창비

⊙ 고발포 : 팽창비 80 ~ 1,000 미만
⊙ 저발포 : 팽창비 20 이하인 것
▣ 포소화설비의 종류
|
구 분
|
팽창비
|
포방출구
|
|
|
저발포
|
20 이하
|
포헤드, 압축공기포 헤드
|
|
|
고발포
|
제1종
|
80 ~ 250 미만
|
고발포용 고정포 방출구
|
|
제2종
|
250 ~ 500 미만
|
||
|
제3종
|
500 ~ 1,000 미만
|
||
66. 포소화설비 포약제 혼합방식
① 펌프푸로포셔너 방식 ② 라인 푸로포셔너 방식 ③ 프레져 푸로포셔너 방식
④ 프레져사이드 푸로포셔너 방식 ⑤ 압축공기포 믹싱 챔버 방식
67. 배액밸브 : 송액관의 가장 낮은 부분 에 포방출 후 배관안의 액을 배출하기 위하여
68. 완충장치 : 송액관과 위험물 저장 탱크의 접합 부분에서 설치하며 충격과 진동에 의해 영향을 받지 않도록하기위하여
69. 저발포 소화약제
① 단백포 ② 수성막포 ③ 불화단백포 ④ 합성계면활성제포 ⑤ 내알코올형포
70. 수성막포의 장단점
① 장점 : 화학적으로 안정되며 장기 보존이 가능하고 내약품성이 좋아 다른 소화약제와 겸용 가능
② 단점 : ㉠ 가격이 비싸고 고발포용으로는 사용 못함
㉡ 내열성이 낮아 포가 쉽게 파괴되고 탱크화재에 부적합하다.
71. 포소화약제 방사량
|
소방대상물
|
포소화약제의 종류
|
방사량
|
|
차고 · 주차장
항공기 격납고
|
수성막포
|
3.7 ℓ/min · ㎡
|
|
단백포
|
6.5 ℓ/min · ㎡
|
|
|
합성계면활성제포
|
8.0 ℓ/min · ㎡
|
|
|
특수가연물을 저장 ·
취급하는 장소
|
수성막포
|
6.5 ℓ/min · ㎡
|
|
단백포
|
||
|
합성계면활성제포
|
72. 폄심리듀서 : 펌프의 흡입배관의 공기고임을 방지하기 위하여
73. 포소화설비의 유효반경 (R)
▣ 포소화설비의 유효반경 (R)은 특정소방대상물과 구조에 관계없이 2.1 m 를 적용한다.
74. 포워터 스프링클러 설비 수원의 양
Q = 헤드개수 × 75 ℓ/min × 10분 × 사용농도
Q = N × Q × T × S
|
구 분
|
표준 방사량
|
|
포워터 스프링클러 헤드
|
75 ℓ/min
|
|
⊙ 포헤드
⊙ 고정포 방출구
⊙ 이동식 포노즐
⊙ 압축공기포 헤드
|
각헤드, 고정포방출구 또는 이동식 포노즐의 설계에 따라 방출되는 양
|
75. 25 % 환원시간
▣ 합성 계면 활성제포 : 180 초 이상
▣ 단백포 : 60초 이상
▣ 수성막포 : 60초 이상
76. 이산화탄소(CO2) 소화설비 소화약제량 (심부화재)
|
소방대상물
|
약제량
|
개구부 가산량
|
|
⊙ 전기설비 (유압기기 제외)
⊙ 케이블실
|
1.3 ㎏/㎥
|
10 ㎏/㎡
|
|
⊙ 전기설비 (55 ㎥ 미만)
|
1.6 ㎏/㎥
|
|
|
⊙ 서고, 전자제품 · 목재가공창고 · 박물관
|
2.0 ㎏/㎥
|
|
|
⊙ 고무류 · 면화류 · 모피 · 석탄 · 집진설비
|
2.7 ㎏/㎥
|
▣ 표면화재
|
방호구역 체적
|
1 ㎥ 당 소화약제량
|
최저 저장량
|
|
45 ㎥ 미만
|
1 ㎏
|
45 ㎏
|
|
45 ㎥이상 150 ㎥ 미만
|
0.9 ㎏
|
|
|
150 ㎥ 이상 1,450 ㎥ 미만
|
0.8 ㎏
|
135 ㎏
|
|
1,450 ㎥ 이상
|
0.75 ㎏
|
1,125 ㎏
|
▣ 이산화탄소 소화설비 설치 제외 장소 : 자기연소성 물질, 활성금속물질
77. 설계농도 유지시간 (Soaking time)
▣ 가스계 소화설비에서 소화약제 방출시 설계농도에 도달한 후 재발화가 일어나지 않는 완전 소화 달성에 필요한 시간
78. 할로겐 화합물 및 불활성기체 소화약제 구비 조건 5가지
▣ 소화성능, 물성, 독성, 안정성, 경제성
79. 할로겐 화합물 및 불화성기체 소화설비의 관이음 방법
① 나사이음 ② 용접이음 ③ 플랜지 이음 ④ 압축이음
80. 할로겐 화합물 소화약제란 ?
▣ 불소(F), 염소(Cl), 브롬 (Br), 요오드 (I) 중 하나의 원소를 포함하는 유기화합물을 기본 성분으로 하는 소화약제
81. 불활성기체 소화설비란 ?
▣ 헬륨(He), 네온 (Ne), 아르곤 (Ar), 질소가스 중 하나 이상의 원소를 기본으로 하는 소화약제
82. 할로겐 화합물 및 불활성기체 소화설비의 설치 제외 장소
① 사람이 상시 거주하는 곳으로서 최대 허용 농도를 초과하는 장소
② 제3류 및 제5류 위험물을 사용하는 장소
83. 할로겐 화합물 소화약제 중 최대 허용 설계 농도와 최저 설계 허용 농도 물질은 ?
① 최대 허용 설계 농도 : FC - 3 - 1 - 10
② 최대 허용 농도가 낮은 것 : FIC - 13I1
84. 할로겐 화합물 및 불활성기체 소화설비의 저장용기 재충전 및 교체 기준
▣ 할로겐화합물 : 약제 손실 5% 초과, 압력손실 10 % 초과
▣ 불활성기체 : 압력손실 5% 초과
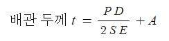
85. 배관의 두께

여기서, P : 내부설계압력 [kPa], D : 배관의 바깥지름 (외경) [㎜] , S : 배관재질의 허용 응력 [kPa]
E : 용접이음 효율 계수, A : 추가 두께
※ SE = σt × 배관이음효율 × 1.2
σt : 인장강도의 1/4과 항복점의 2/3 중 적은 값
※ 배관의 이음 효율
⊙ 이음매 없는 배관 : 1.0
⊙ 전기저항 용접배관 : 0.85
⊙ 가열맞대기 용접배관 : 0.60
86. 할로겐 화합물의 영향 : 오존 파괴, 지구온난화
87. 할로겐 화합물 소화약제는 10초 이내에 95%를 방사해야 하는 이유
▣ 소화약제 방사시 발생하는 독성 물질을 감소시켜 실내의 인명안전을 도모하기 위하여
88. 할로겐 화합물 및 불활성 기체 소화약제 방사시간
▣ 할로겐 화합물의 배관 구경은 해당 방호구역에 할로겐 화합물 소화약제는 10초 이내에 (불활성기체는 A·C급 화재는
2분, B급 화재는 1분)이내에 방호구역 각 부분에 최소 설계 농도의 95% 이상 해당하는 약제량을 방출할 수 있어야 한다.
89. 분말소화설비의 정압작동장치
▣ 분말소화약제 저장용기의 내부 압력이 설정압력으로 되었을 때 주밸브를 개방시키는 장치
90. 분말소화설비의 클리닝(Cleaning) 장치 : 분말소화약제 방출 후에 남은 배관 내의 잔류 소화약제를 배출시키기 위한
장치
91. 분말소화약제의 정압작동장치의 방식
① 봉판식 ② 기계식 ③ 스프링식 ④ 압력스위치식
92. 압력스위치 방식 : 가압용 가스가 저장용기내 가압되어 압력스위치가 동작되면 솔레노이드 밸브가 동작되어 주밸브를
개방시키는 방식
93. 분말 소화설비 약제량 및 충전비
|
소화약제 종류
|
소요 약제량
|
개구부 가산량
|
|
제1종
|
0.6 ㎏/㎥
|
4.5 ㎏/㎡
|
|
제2·3종
|
0.36 ㎏/㎥
|
2.7 ㎏/㎡
|
|
제4종
|
0.24 ㎏/㎥
|
1.8 ㎏/㎡
|
▣ 분말 소화약제별 충전비
|
소화약제의 종류
|
소화약제 1㎏당 저장용기의 내용적
|
|
제1종
|
0.8 ℓ
|
|
제 2 · 3 종
|
1 ℓ
|
|
제4종
|
1.25 ℓ
|
94. 가압용 가스 (N2)의 양
▣ 가압용 가스 또는 축압용 가스 설치기준
|
구분
|
질소 (N2)
|
이산화탄소 (CO2)
|
|
가압용
|
40 ℓ/㎏ 이상
|
20 g/㎏ + 배관청소에 필요한 양 이상
|
|
축압용
|
10 ℓ/㎏ 이상
|
95. 넉다운 효과 : 분말 소화약제의 특성 중 하나로서 소화약제 방사 개시후 10 ~ 20 초 후 소화되는 것
▣ 넉다운 효과가 발생하지 않는 이유
① 분말 소화약제의 적응성이 맞지 않는 경우
② 분말 소화약제의 소화약제량이 부족한 경우
③ 열방출률이 높은 화재
④ 화재감지기 작동이 늦어져 시스템의 작동이 늦어진 경우
⑤ 배관 부속류 등을 설계와 다르게 시공하여 배관 내부에 소화약제가 완전히 배출되지 않는 경우
96. 스프링클러설비 헤드의 수직 이격 거리
▣ 래크식 창고의 경우 래크 높이 특수가연물의 경우 4m 이하 마다 기타의 경우에는 6m 이하마다 헤드를 설치할 것
▣ 개방형 : 감열부가 없으며 가압수를 방출한다.
▣ 폐쇄형 : 감열부가 잇으며 화재를 감지하고 가압수를 방출한다.
▣ 설치대상 : 개방형 : 무대부, 연소할 우려가 있는 개구부
폐쇄형 : 근린생활시설, 아파트
97. 개방형 헤드와 폐쇄형 헤드의 비교
|
구분
|
개방형
|
폐쇄형
|
|
기능
|
⊙ 감열부가 없으며 가압수를 방출한다.
|
⊙ 감열부가 있으며 화재를 감지하고 가압수를 방출한다.
|
|
적용설비
|
일제살수식 스프링클러설비
|
습식 스프링클러 설비
건식 스프링클러 설비
준비작동식 스프링클러 설비
|
98. 조기반응형 스프링클러설비 설치 장소
① 공동주택의 거실 ② 노유자시설의 거실 ③ 병원의 입원실
④ 오피스텔의 침실 ⑤ 숙박시설의 침실
99. 하향식 스프링클러설비를 설치하는 경우
① 드라이 팬던트 스프링클러헤드를 사용하는 경우
② 동파의 우려가 없는 설치장소
③ 개방형 스프링클러설비 헤드
100. 드라이 팬던트 스프링클러 헤드의 구조 · 목적
▣ 목적 : 질소 · 부동액을 주입하여 동파를 방지하기 위한 목적
▣ 구조 : 평상시 헤드 부분으로 물이 유입되지 않는 구조
101. 반응시간지수 (RTI : Response time Index)

여기서, τ : 감열체의 시간상수 (S), μ : 기류속도, m : 열감지부의 질량 c : 열감지부의 비열
h : 대류열 전달계수 a : 감지부 면적
102. 압력배관의 종류
⊙ SPP : 배관용 탄소 강관 ⊙ SPPS : 압력 배관용 탄소 강관
⊙ SPPH : 고압 배관용 탄소 강관 ⊙ SPPT : 고온 배관용 탄소 강관
103. 스프링클러설비 설치 기준
▣ 교육연구시설(연구소)의 경우 지하층 · 무창층 또는 층수가 4층 이상인 층으로서 바닥 면적이 1,000 ㎡ 이상인 층에는
스프링클러설비를 설치해야 한다.
104. 옥상수조를 설치하지 않아도 되는 경우
① 지하층만 있는 건축물
② 고가수조를 가압송수장치로 설치하는 스프링클러설비
③ 가압수조를 가압송수장치로 설치하는 스프링클러설비
④ 수원이 건축물의 최상층에 설치된 헤드 보다 높은 위치에 설치된 경우
⑤ 건축물의 높이가 지상 10 m 이하인 경우
105. 흡입관에 버터플라이 밸브를 사용하면 안되는 이유
① 물의 유체 저항이 커서 원활한 흡입을 방해하며 유효흡입양정이 감소되어 공동현상이 발생할 우려가 있다.
② 펌프의 기동중에 순간적인 개폐 조작을 할 경우 수격작용이 발생할 우려가 있다.
106. 충압펌프의 정격 토출압력 : 최고위 살수장치의 자연낙차압 + 0.2 MPa
107. 배관종류 : 주배관, 수평주행배관, 교차배관, 가지배관
108. 배관의 굵기 : 교차배관 40 ㎜ 이상, 수직배관 50 ㎜ 이상
109. 스프링클러설비에 연결송수관설비를 설치하는 이유
① 특정소방대상물의 자체 수원의 저수량이 부족할 때 소방차에서 물을 공급 받기 위해
② 가압송수장치 고장시 소방차에서 물을 공급받기 위하여
110. 연셜송수장치 밸브 설치 순서
▣ 습식 : 송 - 자 - 체 : 연결송수관설비 - 자동배수밸브 - 체크밸브
▣ 건식 : 송 - 자 - 체 - 자 : 연결송수관설비 - 자동배수밸브 - 체크밸브 - 자동배수밸브
111. 탬퍼스위치 (Tamper Switch) : 급수관에 설치되어 급수를 차단할 수 있는 개폐밸브의 개폐상태를 감시제어반에서
확인하는 기능
▣ 설치위치
① 주펌프 흡입측 급수배관에 설치된 개폐표시형 밸브
② 주펌프 토출측 급수배관에 설치된 개폐표시형 밸브
③ 옥상수조측 급수배관에 설치된 개폐표시형 밸브
④ 유수검지장치 및 일제개방밸브의 1차측 개폐표시형 밸브
112. 스프링클러 헤드 배관 방식
① 트리방식 : 각 헤드 까지 단일 방향으로만 유수되는 배관 방식
주배관 → 수평주행배관 → 교차배관 → 가지배관
② 격자방식 : 평행한 교차배관 사이에 많은 가지배관을 연결한 배관방식으로 미동작시 가지배관은 교차배관의 물이동에
이용
③ 격자배관 : 배관의 체적이 커짐에 따라 배관내 공기량이 많아져 소화수의 이송 및 방사가 지연된다.
113. 스프링클러 가지배관에 토너먼트 방식을 사용하지 않는 이유
① 유체의 마찰손실이 커서 규정 방수량 및 방수압력 유지가 곤란하므로
② 수직 작용에 의한 배관 등의 파손 방지
114. 토너먼트 배관방식 사용 소화설비 : 이산화탄소 소화설비, 할론소화설비, 할로겐 화합물 및 불활성기체 소화설비,
분말소화설비, 압축공기포 소화설비
115. 스플링클러 폐쇄형 헤드의 시험장치
▣ 부속품 : 압력계, 개폐밸브, 개방형 헤드
▣ 시험장치의 기능
① 유수검지 장치의 기능 확인
② 규정방수량 및 방수압 확인
③ 음향경보장치 확인
④ 제어반의 화재표시등 및 밸브개방표시등 확인
⑤ 펌프의 자동기동 확인
116. 스프링클러 설비 폐쇄형 헤드 작동온도 범위
▣ 표시온도 × (0.97 ~ 1.03), 표시온도 × (1 ± 0.03)
※ 표시온도가 79 ℃ 라면 ? 79 ℃ × (0.97 ~ 1.03) = 76.63 ~ 81.37 ℃
117. 방유제와 탱크의 이격 거리
|
탱크 지름
|
이격 거리
|
|
15 m 미만
|
탱크 높이의 1/3 이상
|
|
15 m 이상
|
탱크 높이의 1/2 이상
|
118. 위험물 저장소의 공지 너비
|
지정수량 배수
|
공지 너비
|
|
500 배 미만
|
3 m 이상
|
|
500 ~ 1,000 배
|
5 m 이상
|
|
1,001 ~ 2,000 배
|
9 m 이상
|
|
2,001 ~ 3,000 배
|
12 m 이상
|
|
3,001 ~ 4,000 배
|
15 m 이상
|
※ 4,000배 이상의 경우 지름과 높이 중 큰 값을 적용
119. 가압송수장치 설치 : 소화수조 또는 저수조가 지표면으로 부터 깊이가 4.5 m 이상이면 소방차에서 소화용수를 흡입할
때 흡입능력이 떨어지거나 흡입불능 상태가 되므로 가압송수장치를 설치하여야 한다.
120. 지하구의 소화기 설치
▣ 소화기의 능력단위는 A급 화재는 개당 3단위, B급화재는 5단위, C급 화재는 적응성이 있는 소화기를 설치하여야 하며
소화기 하나의 중량은 7㎏ 이하로 할 것
▣ 소화기는 사람이 출입할 수 있는 출입구 (환기구, 작업구를 포함) 부근에 5개 이상 설치하고 소화기 상부에 "소화기"라
고 표시한 조명식 또는 반사식 표지판을 설치한다.
▣ 지하구 (발전소, 송전선, 변압기, 통신기기실, 전산실) 등 바닥면적 (300) ㎡ 미만인 곳에는 유효설치 방호체적 이내의
가스 · 분말 · 고체에어로졸 · 케비넷형) 자동소화장치를 설치해야 한다.
▣ 제어반 또는 분전반 마다 가스 · 분말 · 분말에어로졸 · 자동소화장치 또는 유효 설치 방호체적 이내의 소공간용 소화
용구를 설치해야 한다.
▣ 케이블 접속부 마다 다음 각 호의 자동소화장치를 설치하되 소화성능이 확보되도록 방호공간을 구획하는 등 유효한
조치를 해야 한다.
㉠ 가스 · 분말 고체에어로졸 자동소화장치
㉡ 중앙소방기술심의위원회의 심의를 거쳐 소방청장이 인정하는 자동소화장치
121. 지하구 연소방지설비 헤드 설치기준
① 천장 또는 벽면에 설치
② 헤드간 수평거리는 연소방지설비 전용헤드 2m 이내 스프링클러의 경우 1.5 m 이내
③ 소방대원이 출입 (환기구 · 배기구) 양쪽으로 3m 이상, 환기구간 거리가 700 m 를 초과시 700 m 이내 마다
122. 소화기 설치 기준
▣ 특정소방대상물 각 층 마다 설치하되, 각 층이 2 이상의 거실을 구획된 경우에는 각 층 마다 설치하는 것 외에 바닥면
적이 33 ㎡ 이상으로 구획된 각 거실 (아파트의 경우 각 세대)에도 배치할 것
▣ 특정소방대상물의 각 부분으로 부터 1개의 소화기까지 보행거리가 소형 소화기의 경우에는 20 m 이내 (대형소화기
30 m 이내)가 되도록 할 것
▣ 배관 구경
|
구 분
|
배관 종류
|
배관 구경
|
|
|
옥
내
소
화
전
|
호스릴 방식
|
방수구로 연결되는 가지배관
|
25 ㎜ 이상
|
|
주배관 중 수직배관
|
32 ㎜ 이상
|
||
|
일반적인 방식
|
방수구로 연결되는 가지배관
|
40 ㎜ 이상
|
|
|
주배관 중 수직배관
|
50 ㎜ 이상
|
||
|
연결송수관설비 겸용
|
방수구로 연결되는 가지배관
|
65 ㎜ 이상
|
|
|
주배관
|
100 ㎜ 이상
|
||
123. 설치장소별 헤드 표시온도
|
설치장소 최고온도
|
표시온도
|
|
39 ℃ 미만
|
79 ℃ 미만
|
|
39 ℃ 이상 64 ℃ 미만
|
79 ℃ 이상 121 ℃ 미만
|
|
64 ℃ 이상 106 ℃ 미만
|
121 ℃ 이상 162 ℃ 미만
|
|
106 ℃ 이상
|
162 ℃ 이상
|
124. 물분무 소화설비 토출량
|
소방대상물
|
토출량
|
비고
|
|
⊙ 컨베이어 벨트
⊙ 절연유 봉입 변압기
|
10 ℓ/min · ㎡
|
-
|
|
⊙ 특수 가연물
|
10 ℓ/min · ㎡
|
최소 50 ㎡
|
|
⊙ 케이블 덕트
⊙ 케이블 트레이
|
12 ℓ/min · ㎡
|
-
|
|
⊙ 차고
⊙ 주차장
|
20 ℓ/min · ㎡
|
최소 50 ㎡
|
▣ 토출량 Q = 표면적 (바닥부분 제외) × 표준 방사량
수원의 양 Q = 표면적 (바닥부분 제외) × 표준 방사량 × 20 min
125. 이산화탄소 소화설비 토출량
▣ 소화약제저장량 [㎏] = 방호구역체적 [㎥] × 소요약제량 [㎏/㎥] × 보정계수 + 개구부 면적 [㎡] × 개구부 가산량 [㎏/㎡]
※ 소요약제량 및 개구부 가산량
|
방호구역 체적
|
소요약제량
|
최소저장량
|
개구부 가산량
(자동폐쇄장치 미설치시 적용)
|
|
45 ㎥ 미만
|
1 ㎏/㎥
|
45 ㎏
|
5 ㎏/㎡
|
|
45 ㎥ 이상 150 ㎥ 미만
|
0.9 ㎏/㎥
|
||
|
150 ㎥ 이상 1,450 ㎥ 미만
|
0.8 ㎏/㎥
|
135 ㎏
|
|
|
1,450 ㎥ 이상
|
0.75 ㎏/㎥
|
1,125 ㎏
|
② 심부화재
▣ 소화약제 저장량 [㎏] = 방호구역체적 [㎥] × 소요약제량 [㎏/㎥] + 개구부 면적 [㎡] × 개구부 가산량 [㎏/㎡]
|
소방대상물
|
소요약제량
|
개구부 가산량
(자동폐쇄장치
미설치시 적용)
|
|
⊙ 전기설비 (유압기기 제외)
⊙ 케이블실
|
1.3 ㎏/㎥
|
10 ㎏/㎡
|
|
⊙ 전기설비 (55㎥ 미만)
|
1.6 ㎏/㎥
|
|
|
⊙ 서고, 전자부품창고, 목재가공창고, 박물관
|
2.0 ㎏/㎥
|
|
|
⊙ 고무류, 면화류창고, 모피창고, 석탄창고, 집진설비
|
2.7 ㎏/㎥
|
나. 국소 방출방식
|
구분
|
소방대상물
|
고압식
|
저압식
|
|
면적식
|
⊙ 윗면이 개방된 용기에 저장하는 경우
⊙ 연소면이 한정되고 가연물이 비산할
우려가 없는 경우 |
방호대상물의 표면적 [㎡] × 13 ㎏/㎡ × 1.4
|
방호대상물의 표면적 [㎡]
× 13 ㎏/㎡ × 1.1
|
|
체적식
|
⊙ 기타
|
방호대상물의 체적 [㎥] × (8 - 6 a/A) ㎏/㎥ × 1.4
|
방호대상물의 체적 [㎥]
× (8 - 6 (a/A)) ㎏/㎥ ×1.1
|
※ 여기서,
a : 방호대상물 주위에 설치된 벽면적의 합계 [㎡] (0.6 m 이내에 설치된 설계벽, 누설되지 않는 벽면적)
A : 방호공간 벽면적 (벽이 없는 경우에는 벽이 있는 것으로 가정한 부분의 면적)의 합계 [㎡] (전체 벽면적으로서 0.6 m
이내에 벽이 있을 경우를 포함하며, 0.6m 이내에 벽이 없을 경우에는 가상의 벽이 있다고 가정한 벽면적의 합계)
126. 소화용수설비

▣ 기준면적
|
특정소방대상물
|
기준면적
|
|
1층, 2층의 바닥면적 합계 15,000 ㎡ 이상 특정소방대상물
|
7,500 ㎡
|
|
그밖의 특정소방대상물
|
12,500 ㎡
|
▣ 흡수관 투입구수
|
소화수조 소요량
|
80 ㎥ 미만
|
80 ㎥ 이상
|
|
흡수관 투입구수
|
1개 이상
|
2개 이상
|
▣ 채수구 수
|
소요수량
|
20 ㎥ 이상 40 ㎥ 미만
|
40 ㎥ 이상 100 ㎥ 미만
|
100 ㎥ 이상
|
|
채수구수
|
1개
|
2개
|
3개
|
|
양수량, 토출량
|
1,100 ℓ/min 이상
|
2,200 ℓ/min 이상
|
3,300 ℓ/min 이상
|
127. 스케줄 수

128. 포방출구 개수
|
저장탱크 지름
|
고정지붕
|
부상 덮개
|
|
|
Ⅰ, Ⅱ 형
|
Ⅱ형
|
특형
|
|
|
13m 미만
|
2
|
2
|
2
|
|
13 ~ 19 m 미만
|
3
|
3
|
|
|
19 ~ 24 m 미만
|
4
|
4
|
|
|
24 ~ 35 m 미만
|
5
|
5
|
|
|
35 ~ 42 m 미만
|
3
|
6
|
6
|
|
42 ~ 53 m 미만
|
4
|
7
|
7
|
|
53 ~ 60 m 미만
|
8
|
10
|
10
|
129. 위험물 지정수량
▣ 특수인화물 : 50 ℓ
▣ 제1석유류 (석유) : 200 ℓ
▣ 제2석유류 (경유) : 1,000 ℓ
▣ 제3석유류 : 2,000 ℓ
▣ 제4석유류 : 6,000 ℓ
130. 위험물 탱크간 거리
▣ 탱크의 수평단면의 최대 지름 : 20 m
▣ 탱크의 높이 8m 중 최대의 것
▣ 탱크지름 : 3m
131. 방유제와 탱크 측면의 이격 거리
|
탱크지름
|
이격거리
|
|
15 m 미만
|
탱크 높이 1/3 이상
|
|
15 m 이상
|
탱크 높이 1/2 이상
|
132. 방유제의 최소 높이
▣ 방유제의 높이 : 0.5 m 이상 3 m 이하
▣ 방유제의 용량
⊙ 1기 : 탱크 용량의 110% 이상
⊙ 2기 이상 : 최대 탱크용량의 110% 이상
133. 프레져프루포셔너 유량 범위 : 50 ~ 200 %
▣ 1,514.16 ℓ/min × 50% (0.5) = 757.08
▣ 1,514.16 ℓ/min × 200% (2) = 3,028.32
134. 연소방지설비, 연결살수설비 헤드 간 간격
|
구 분
|
수평거리 상호간 거리
|
|
|
연소방지시설
|
전용헤드
|
2 m
|
|
스프링클러헤드
|
1.5 m
|
|
|
연결살수설비
|
전용헤드
|
수평거리 3.7 m
|
|
스프링클러설비
|
2.3 m
|
|
|
가연성가스
|
3.7 m
|
|
135. 스프링클러 헤드 배치 기준
|
설치장소
|
배치기준
|
|
⊙ 무대부
⊙ 특수가연물
|
1.7 m
|
|
기타구조
|
2.1 m
|
|
내화구조
|
2.3 m
|
|
래크식 창고 (일반구조)
|
2.5 m
|
|
공동주택 거실
|
3.2 m
|
136. 포소화설비 약제량 산정식
▣ 고정포 방출구 Q① = A · Q1 · T · S
▣ 보조포 방출구 Q② = N · S · 8,000 ℓ (호스접결구수 3개)
▣ 배관 보정량 Q③ = A · L · S · 1,000 [ℓ/㎥]
▣ 합계 : Q = Q① + Q② + Q③
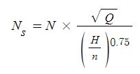
137. 펌프의 단수

여기서, Ns : 비교 회전수, N : 회전수, Q : 유량, H : 양정, n : 단수
138. 포방출구
▣ 포방출구는 바닥면적 500 ㎡ 미다 설치
▣ 관포체적은 방호대상 높이 + 50 ㎝
▣ 포방출구 분당 토출량 : 300 ℓ/min
⊙ 포방출구 5개 = 5 × 300 ℓ/min = 1,500 ℓ/min
139. 옥내소화전 호스릴방식의 토출량
Q = N · 300 ℓ/min (바닥면적 200 ㎡ 이하는 230 ℓ/min)
N : 호스접결구수 (최대 5개)
140. 물분무설비 토출량
|
구 분
|
토출량
|
비 고
|
|
⊙ 컨베이어 벨트
⊙ 절연유 봉입 변압기
|
10 ℓ/min · ㎡
|
-
|
|
⊙ 특수가연물
|
10 ℓ/min · ㎡
|
최소 50 ㎡
|
|
⊙ 케이블 덕트
⊙ 케이블 트레이
|
12 ℓ/min · ㎡
|
-
|
|
⊙ 차고
⊙ 주차장
|
20 ℓ/min · ㎡
|
최소 50 ㎡
|
141. 피난기구 설치대상에 따른 설치 개수
|
설 치 대 상
|
설치 개수
|
|
숙박시설, 노유자시설, 의료시설 (병원)
|
500 ㎡ 마다
|
|
위락, 문화집회시설, 운동시설, 판매시설, 복합용도의 층
|
800 ㎡ 마다
|
|
그밖의 용도의 층
|
1,000 ㎡ 마다
|
|
아파트
|
각 세대
|
142. 지하구란 ? 폭 1.8 m 이상 높이 2 m 이상, 길이 50 m 이상
143. 연소방지시설의 교차 배관 구경 : 40 ㎜ 이상
144. 연결송수관 설비, 연결살수설비
▣ 11층 이상의 방수구는 쌍구형으로 할 것
▣ 습식 : 송수구 - 자동배수밸브 - 체크밸브 (송,자,체)
건식 : 송수구 - 자동배수밸브 - 체크밸브 - 자동배수밸브 (송,자,체,자)
▣ 연결송수관설비 : 펌프양정은 최상층에 설치된 노즐 선단의 압력이 0.35 [MPa] 이상
▣ 특성소방대상물이 지표면에서 높이 70m 이상이면 : 가압송수장치를 설치할 것
▣ 연결살수설비의 배관 구경 (헤드)
|
헤드개수
|
1
|
2개
|
3개
|
4~5개
|
6개 이상 10개 이하
|
|
배관구경
|
32 ㎜
|
40 ㎜
|
50 ㎜
|
65 ㎜
|
80 ㎜
|
▣ 연결살수설비 천장 · 반자로 부터 이격거리
⊙ 전용헤드 : 3.7 m 이내
⊙ 스프링클러헤드 : 2.3 m 이내
145. 소화용수설비 (소화수조 · 저수조)

▣ 기준면적
|
특정소방대상물 구분
|
기준면적
|
|
1층 및 2층의 바닥면적의 합계가 15,000 ㎡ 이상인 특정소방대상물
|
7,500 ㎡ 이상
|
|
그밖의 특정소방대상물
|
12,500 ㎡ 이상
|
▣ 흡수관 투입구수
|
소화수조 소요수량
|
80 ㎥ 미만
|
80 ㎥ 이상
|
|
흡수관 투입구수
|
1개 이상
|
2개 이상
|
▣ 채수구 수
|
소요수량
|
20 ㎥ 이상
40 ㎥ 미만
|
40 ㎥ 이상
100 ㎥ 미만
|
100 ㎥ 이상
|
|
채수구수
|
1개
|
2개
|
3개
|
▣ 소화수조 또는 저수조의 가압송수장치 양수량 (토출량)
|
소화수조의 소요수량
|
20 ㎥ 이상 40 ㎥ 미만
|
40 ㎥ 이상 100 ㎥ 미만
|
100 ㎥ 이상
|
|
양수량(토출량)
|
1,100 ℓ/min 이상
|
2,200 ℓ/min 이상
|
3,300 ℓ/min 이상
|
146. 특별피난계단의 계단실, 부속실의 제연구역 선정 기준
① 계단실 및 그 부속실을 동시에 제연하는 것
② 부속실만 단독으로 제연하는 것
③ 계단실을 단독으로 제연하는 것
④ 비상용 승강기의 승강장을 단독으로 제연하는 것
147. 제연구역과 옥내와 유지해야 할 최소 차압 : 40 Pa
148. 옥내스프링클러설비가 설치된 경우의 최소 차압 : 12.5 Pa
149. 출입문 개방에 필요한 힘 : 110 N
150. 부속실과 계단실의 압력 차이 : 5 Pa
151. 연돌효과에 의한 압력차

여기서, △P : 압력차, H : 높이, To : 밖의 절대온도, Ti : 내부의 절대온도
152. 누설량

153. 배출구에 따른 배출방식의 경우 개폐기의 개구부 면적

Ao : 개페기의 개구면적 [㎡]
QN : 수직풍도가 담당하는 1개층의 제연구역의 출입문 (옥내와 면하는 출입문) 1개의 면적과 방연풍속을 곱한 값
154. 방연풍속
|
제연구역
|
방연풍속
|
|
|
계단실 및 그 부속실을 동시에 제연하는 것 또는 계단실만 단독으로 제연하는 것
|
0.5 m/s 이상
|
|
|
부속실만 단독으로 제연하는 것 또는 비상용 승강기의 승강장만
단독으로 제연하는 것 |
부속실 또는 승강장이 면하는 옥내가
거실인 경우
|
0.7 m/s 이상
|
|
부속실 또는 승강장이 면하는 옥내가
복도도서 그 구조가 방화구조(내화시간이
30분 이상인 구조) |
0.5 m/s 이상
|
|
155. 제연배출량 : 배출량 (거실의 바닥면적이 400 ㎡ 미만, 최저 5,000 ㎥/h)
▣ 배출량 [㎥/min] = 바닥면적 [㎡] × 1 [㎥/min · ㎡]
156. 다익팬의 특징
① 임펠러는 깃 폭이 좁고 날개 익수가 많다.
② 낮은 속도에서 운전되며 낮은 압력에서 많은 공기량이 요구될 때 사용된다.
157. 원심식 : 다익팬, 터보팬, 익형 팬 등
158. 제연배출량
▣ 배출량 (거실의 바닥면적이 400 ㎡ 미만, 최저 5,000 ㎥/h 이상)
▣ 배출량 [㎥/min] = 바닥면적 [㎡] × 1 [㎥/min · ㎡]
▣ 거실 바닥면적 400 ㎡ 이상이고 40 m 원 안에 있는 경우
|
수직거리
|
배출량
|
|
2 m 이하
|
40,000 ㎥/h 이상
|
|
2 m 초과 2.5 m 이하
|
45,000 ㎥/h 이상
|
|
2.5 m 초과 3 m 이하
|
50,000 ㎥/h 이상
|
|
3m 초과
|
60,000 ㎥/h 이상
|
▣ 바닥면적이 400 ㎡ 이상이고 40 m 원 밖에 있는 경우
|
수직거리
|
배출량
|
|
2 m 이하
|
45,000 ㎥/h 이상
|
|
2 m 초과 2.5 m 이하
|
50,000 ㎥/h 이상
|
|
2.5 m 초과 3 m 이하
|
55,000 ㎥/h 이상
|
|
3m 초과
|
65,000 ㎥/h 이상
|
159. 피난기구
① 피난사다리 ② 피난교 ③ 피난용 트랩 ④ 미끄럼대 ⑤ 완강기 ⑥ 구조대 ⑦ 다수인 피난장비
160. 완강기 설치개수
▣ 피난기구 설치대상 (노유자시설 ~ 영업장 위치가 4층 이상인 영업장 제외)
▣ 지상 3층 ~ 지상 10층
▣ 피난기구의 설치대상에 따른 설치 개수
|
설치대상
|
설치기준
|
|
숙박시설, 노유자시설, 의료시설
|
500 ㎡ 마다
|
|
위락시설, 문화집회시설, 운동시설, 판매시설
|
800 ㎡ 마다
|
|
그밖의 용도의 층 (사무실)
|
1,000 ㎡ 마다
|
|
아파트 등
|
각 세대
|
161. 인명구조기구
▣ 방열복, 방화복, 공기호흡기, 인공소생기
162. 제연구역 : 하나의 제연구역은 1,000 ㎡ 이하
▣ 거실과 통로는 상호 제연 구획한다.
▣ 통로상 제연구역은 보행중심선의 길이가 60 m 를 초과하지 않아야 한다.
▣ 하나의 제연구역은 직경 60m 이내에 들어 갈 수 있어야 한다.
▣ 하나의 제연구역은 2개 이상 층에 미치지 아니하도록 해야 한다.
▣ 하나의 제연구역은 1,000 ㎡ 이내이어야 한다.
▣ 예상제연구역의 각 부분으로 부터 하나의 배출구 까지의 수평거리는 10 m 이내여야 한다.
163. 유입풍도 안의 풍속 : 20 m/s 이하
164. 댐퍼의 종류
▣ 솔레노이드 댐퍼 : 솔레노이드가 누르게 핀을 이동 : 작은 곳
▣ 모터 댐퍼 : 모터가 누르게 핀을 이동 : 넓은 곳
▣ 퓨즈 댐퍼 : 일정 온도가 되면 퓨즈 용융
165. 벤츄리관 유량

166. 플랜지 볼트에 작용하는 힘

167. 소방시설 도면 기호

168. 자동소화장치
▣ 주거용 주방자동소화장치, 상업용 주방 자동소화장치, 케비닛형 자동 소화장치, 가스자동소화장치, 분말자동소화장치
169. 소화능력단위
|
특정소방대상물
|
능력단위
|
내화구조
|
|
위락시설
|
1단위 / 30 ㎡
|
1단위 / 60 ㎡
|
|
공연장, 집회장, 관람장, 문화재, 의료시설, 장례식장
|
1단위 / 50 ㎡
|
1단위 / 100 ㎡
|
|
근린생활시설, 판매시설, 숙박시설, 노유자
시설, 전시장, 공동주택, 업무시설, 통신시설, 방송통신시설, 공장 · 창고시설,
운수시설, 항공기및 자동차관련시설, 관광 휴게 시설 |
1단위 / 100 ㎡
|
1단위 / 200 ㎡
|
|
그밖의 것
|
1단위 / 200 ㎡
|
1단위 / 400 ㎡
|
#소방시설 #기계 #압력 #스프링클러설비 #압축공기포 #심부화재 #표면화재 #제연설비
#소화기 #방수량 #헤드 #소화약제 #위험물 #폭발하한계 #연소상한계 #벤츄리관
'소방설비기사기계실기' 카테고리의 다른 글
| 소방유체역학 최신 기출문제 풀이 (2) | 2024.07.19 |
|---|---|
| 가스계 소화설비 약제저장량 관련 공식 정리 (2) | 2024.07.13 |
| 포소화설비 기출문제풀이 - 2 (수정) (0) | 2024.07.11 |
| 스프링클러설비(간이) 기출문제풀이 - 10 , 배관 및 관부속품 (2) | 2024.07.09 |
| 스프링클러설비 기출문제풀이 9 - 소방기계 실기 (0) | 2024.07.08 |
