102. 다음 그림은 일제개방형 스프링클러설비의 계통을 나타내는 Isometric Diagram이다. 이 설비가 작동되었을 경우
유량, 구간손실, 손실계 등을 조건을 참조하여 수리계산하여 산출하시오 [12점] ★★★★

[조건]
① 개방형 헤드 A의 유량은 100 ℓpm, 방수압은 0.25 MPa 이다.
② 배관 부속 및 밸브류의 마찰손실은 무시한다.
③ 수리계산시 속도수두는 무시한다.
④ 필요압은 노즐에서의 방사압과 배관 끝에서의 압력을 별도로 구한다.
|
구간
|
유량
ℓ/min
|
길이
m
|
1m당 마찰
손실[MPa]
|
구간손실
[MPa]
|
낙차
[m]
|
손실계
[MPa]
|
|
헤드A
|
100
|
-
|
-
|
-
|
-
|
0.25
|
|
A ~ B
|
100
|
1.5
|
0.02
|
0.03
|
0
|
①
|
|
헤드 B
|
②
|
-
|
-
|
-
|
-
|
-
|
|
B ~ C
|
③
|
1.5
|
0.04
|
④
|
0
|
⑤
|
|
헤드 C
|
⑥
|
-
|
-
|
-
|
-
|
-
|
|
C ~ ㉡
|
⑦
|
2.5
|
0.06
|
⑧
|
0
|
⑨
|
|
㉡ ~ ㉠
|
⑩
|
14
|
0.01
|
⑪
|
-10
|
⑫
|
[문제풀이]
① A ~ B 손실계 : 0.25 + 0.03 = 0.28 [MPa]
② 헤드 B의 유량 [ℓ/min]

③ B~C 유량 : 100 + 105.83 = 205.83 [ℓ/min]
④ B~C 구간손실 : 1.5 × 0.04 = 0.06 [MPa]
⑤ B~C 손실계 : 0.25 + 0.03 + 0.06 = 0.34 [MPa]
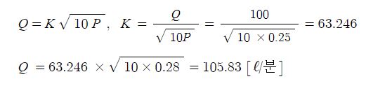
⑥ 헤드 B의 유량 [ℓ/min]

⑦ C ~ ㉡ 유량 : 205.83 + 116.62 = 322.45 [ℓ/min]
⑧ C ~ ㉡ 구간손실 : 2.5 × 0.06 = 0.15 [MPa]
⑨ C ~ ㉡ 손실계 : 0.34 + 0.15 = 0.49 [MPa]
⑩ ㉡ ~ ㉠ 유량 : 322.45 × 2 = 644.9 [ℓ/min]
⑪ ㉡ ~ ㉠ 구간손실 : 14 × 0.01=0.14 [MPa]
⑫ ㉡ ~ ㉠ 손실계 : 0.49 + 0.14 - 0.1(10m) = 0.53 [MPa]

[해설] 개방형 스프링클러설비

여기서, Q : 유량 (방수량) [ℓ/min], K : 방출계수, P : 방수압 [MPa]
Ⅰ. 헤드 A
|
구간
|
유량[ℓpm]
|
길이
[m]
|
1m당 마찰
손실[MPa]
|
구간손실
[MPa]
|
낙차
[m]
|
손실계 [MPa]
|
|
헤드A
|
100
(조건① 유량)
|
-
|
-
|
-
|
-
|
0.25
(조건① 방수압)
|

Ⅱ. A~B 구간

Ⅲ. 헤드 B
⊙ 방출계수 (K)

⊙ 방수압 (손실계압) P : 0.28 MPa

Ⅳ. B ~ C 구간

Ⅴ. 헤드 C

Ⅵ. C ~ ㉡ 구간

Ⅶ. ㉡ ~ ㉠ 구간

※ 낙차의 환산수두압 [MPa] : 10 m = 0.1 MPa 로 환산하여 계산하면 낙차 - 10 m = - 0.1 MPa

103. 다음 그림은 폐쇄형 스프링클러설비를 나타낸 것이다. 조건을 참조하여 각 물음에 답하시오. [12점] ★★★★★
[조건]
① H-1 헤드 : 방수량 (80 ℓ/min), 방수압력 (0.1 MPa)
② 헤드간의 방수압력 차이는 0.01 MPa (단, 헤드와 가지배관 사이의 배관에서의 마찰손 실은 무시한다.)
③ A ~ B 구간의 마찰손실압력은 0.04 MPa 이다.

가. A지점의 필요 최소 압력은 몇 [MPa]인가 ?
나. 각 헤드 (H-1 ~ H-5)에서의 방수량은 몇 [ℓ/min] 인가 ?
다. A ~ B 구간에서의 유량은 몇 [ℓ/min]인가 ?
라. A ~ B 구간에서의 최소 내경은 몇 [m]인가 ?
[문제풀이]
가. A지점의 필요 최소 압력은 몇 [MPa]인가 ?
P = 0.1 (0.01 × 4) + 0.04= 0.18 [MPa]
나. 각 헤드 (H-1 ~ H-5)에서의 방수량은 몇 [ℓ/min] 인가 ?
㉠ 방출계수 (K)

㉡ 각 헤드에서의 방수량

다. A ~ B 구간에서의 유량은 몇 [ℓ/min]인가 ?
▣ 80 + 83.9 + 87.64 + 91.21 + 94.66 = 437.41 [ℓ/min]
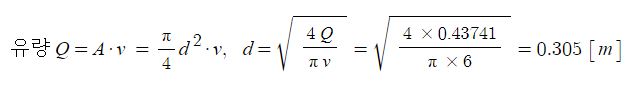
라. A ~ B 구간에서의 최소 내경은 몇 [m]인가 ?

[해설] 폐쇄형 스프링클러설비
가. A지점의 압력
A지점 압력 = H-1 헤드 (말단헤드)의 방수압력 + 헤드간의 방수방수압력차 + A~B구간의 마찰손실압력
∴ A지점의 압력 = 0.1 MPa + (0.01 MPa × 4개소) + 0.04 MPa = 0.18 MPa

나. 각 헤드 (H-1 ~ H-5)에서의 방수량

여기서, Q : 유량 (방수량) [ℓ/min], K : 방출계수, P : 방수압 [MPa]
⊙ H-1 헤드에서의 방수량 Q1 = 80 ℓ/min
⊙ H-1 헤드에서의 방수압력 P1 = 0.1 MPa

각 헤드간 방수압력 차이가 0.01 MPa 이므로 각 헤드(H-1~H-5)에서의 방수량을 구하면


다. A~B 구간에서의 유량
A~B구간에서의 유량 = H-1 ~ H-5 에서의 방수량의 합
∴ A~B 구간에서의 유량 = 80 ℓ/min + 83.9 ℓ/min + 87.64 ℓ/min + 91.21 ℓ/min + 94.66 ℓ/min = 437.41 ℓ/min
라. A~B구간에서의 최소 내경 [m]
① 유량

② 각 설비별 유속 · 풍속
|
구 분
|
유속
|
풍속
|
|
|
옥내소화전설비 (토출측 주배관)
|
4 m/s 이하
|
-
|
|
|
스프링클러
설비
|
가지 배관
|
6 m/s 이하
|
-
|
|
기타 배관
|
10 m/s 이하
|
-
|
|
|
제연설비
|
예상제연구역에 공기가 유입되는
순간의 풍속
|
-
|
5 m/s 이하
|
|
흡입측 풍도
|
-
|
15 m/s 이하
|
|
|
배출측 풍도
|
-
|
20 m/s 이하
|
|
|
유입 풍도
|
-
|
||
⊙ 유량 Q = 437.41 ℓ/min = 0.4374 ㎥/min × 1 min / 60 s
⊙ 유속(v) : 스프링클러설비 가지배관의 유속은 6 m/s 이하 이다.

104. 다음 그림은 폐쇄형 스프링클러 설비를 나타낸 것이다. 조건을 참조하여 각 물음에 답하시오. [9점] ★★★★★
[조건]
① H1 헤드 : 방수량 (80 ℓ/min), 방수압력 (0.1 MPa)
② H1 ~ H5 각 구간별 압력손실은 0.02 MPa 이다.
③ A ~ B 구간의 압력손실은 0.03 MPa 이다.

가. A지점의 필요 최소 압력은 몇 [MPa]인가 ?
나. A ~ B 구간에서의 유량은 몇 [ℓ/min]인가 ?
다. A ~ B 구간의 최소 관경 [㎜]을 구하시오.
[답안작성]
가. A지점의 필요 최소 압력은 몇 [MPa]인가 ?
▣ A지점에서의 압력 : H1 헤드에서의 압수압 + (헤드간 압력손실)
H5 = 0.1 MPa + (0.02 MPa × 4곳) = 0.18 MPa
나. A ~ B 구간에서의 유량은 몇 [ℓ/min]인가 ?
㉠ 방출계수 (K)

㉡ 각 헤드에서의 방수량

∴ A ~ B 구간에서의 유량 = 80 + 87.635 + 94.657 + 101.192 + 107.331 = 470.815 ≒ 470.82 [ℓ/min]
다. A ~ B 구간의 최소 관경 [㎜]을 구하시오.

답 : 40.81 ㎜ (호칭구경을 요구하면 50 ㎜ 를 선정한다.
[해설] 폐쇄형 스프링클러설비
가. A지점의 압력
▣ A지점의 압력 = H1 헤드 (말단헤드)의 방수압력 + 헤드간의 압력손실차
∴ A지점의 압력 = 0.1 MPa + (0.02 MPa × 4개소) = 0.18 MPa

나. A ~ B 구간에서의 유량 (방수량)

여기서, Q : 유량 (방수량) [ℓ/min], K : 방출계수, P : 방수압 [MPa]
⊙ H1 헤드에서의 방수량 Q1 = 80 ℓ/min
⊙ H1 헤드에서의 방수압력 P1 = 0.1 MPa

H1~H5 각구간별 압력손실은 0.02 MPa이므로 각 헤드(H1~H5)에서의 방수량을 구하면


다. A~B 구간에서의 유량 (방수량)
▣ A ~ B 구간에서의 유량 = H1 ~ H5 각 헤드의 방수량의 합
∴ A ~ B 구간에서의 유량 = 80 ℓ/min + 87.635 ℓ/min + 94.657 ℓ/min + 101.192 ℓ/min + 107.331 ℓ/min
= 470.815 ℓ/min ≒ 470.82 ℓ/min
라. A ~ B 구간의 최소 관경 [㎜]
① 유량

② 각 설비별 유속 · 풍속
|
구 분
|
유속
|
풍속
|
|
|
옥내소화전설비 (토출측 주배관)
|
4 m/s 이하
|
-
|
|
|
스프링클러
설비
|
가지 배관
|
6 m/s 이하
|
-
|
|
기타 배관
|
10 m/s 이하
|
-
|
|
|
제연설비
|
예상제연구역에 공기가 유입되는
순간의 풍속
|
-
|
5 m/s 이하
|
|
흡입측 풍도
|
-
|
15 m/s 이하
|
|
|
배출측 풍도
|
-
|
20 m/s 이하
|
|
|
유입 풍도
|
-
|
||
⊙ 유량 Q = 470.82 ℓ/min = 0.47082 ㎥/min × 1 min / 60 s
⊙ 유속(v) : 스프링클러설비 가지배관의 유속은 6 m/s 이하 이다.

(호칭구경일 경우 50 ㎜ 를 선정한다)
※ 문제에서 최소 관경을 구하라 하였으므로 호칭구경이 아닌 실제(이론) 계산값으로 답안을 작성하며, 호칭구경도 같이
표기할 것
#스프링클러설비 #스프링클러 #일제개방형 #Isometric #Diagram #하젠 #윌리엄스
#마찰손실압력 #밸브 #유량 #유수량 #직경 #내경 #개방형 #폐쇄형 #수리계산
#속도수두
'소방설비기사기계실기' 카테고리의 다른 글
| 포소화설비 기출문제풀이 - 2 (수정) (0) | 2024.07.11 |
|---|---|
| 스프링클러설비(간이) 기출문제풀이 - 10 , 배관 및 관부속품 (2) | 2024.07.09 |
| 스프링클러설비 7-1 소방설비기사 기계 실기 문제풀이 (2) | 2024.07.07 |
| 폐쇄형 스프링클러설비 배관 및 관부속품 산정 문제 풀이 (2) | 2024.07.06 |
| 스프링클러설비 관부속품 산출 문제 풀이 (2) | 2024.07.04 |