반응형
▣ 선로상의 전파형 진행파는 선로의 종단에 와서 지중 케이블로 들어가거나 또는
전기기기에 침입하는 경우가 많다. 그런데 이상전압의 진행파들은 파동임피던스가
다른 점 즉 변이점에서 일부는 반사하고 나머지는 변이점을 투과하여 다른 회로에
침입하여 들어갈 것이다.

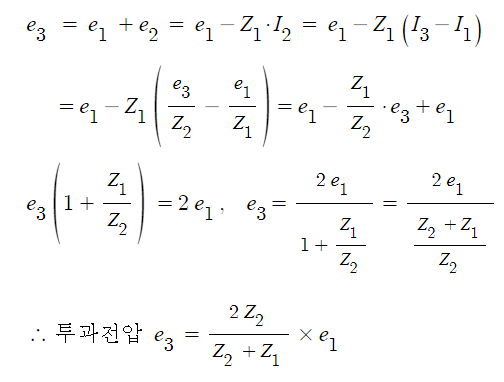
가. 투과파전압


<투과전압유도>


▣ 반사전압

<무반사 조건>
▣ 무반사 조건 : 반사전압 e2가 영("0")이 되는 조건
위 식에서 Z1 = Z2 가 되는 경우

반응형
'전기인이 되는 길 > 전력공학' 카테고리의 다른 글
| 이상전압 관련 기출문제 풀이 (0) | 2021.09.08 |
|---|---|
| 이상전압 : 개폐 서지 (Surge) (0) | 2021.09.08 |
| 표준충격파 전압 (0) | 2021.09.07 |
| 기준충격절연강도 (BIL : Basic Impulse Insulation Level) (0) | 2021.09.07 |
| 안정도 기출문제 풀이 (0) | 2021.09.07 |
