1. 접지방식의 종류 : 변압기의 결선의 종류에 따라 결정
【중성점 접지 목적】
▣ 지락사고시 건전상의 대지전위 상승 억제
▣ 선로 및 기기의 절연레벨 경감
▣ 이상전압의 경감 및 발생 방지
▣ 보호계전기의 동작확실
▣ 1선 지락사고시 지락 아크 소멸
가. 접지방식의 종류

나. 비접지방식

【 비접지 방식의 특징 】
① 변압기 결선방식은 △-△ 결선방식이다.
※ △ 결선, 비접지 방식은 변압기 3대를 △결선하여 3가닥 선을 뽑은 것이다.
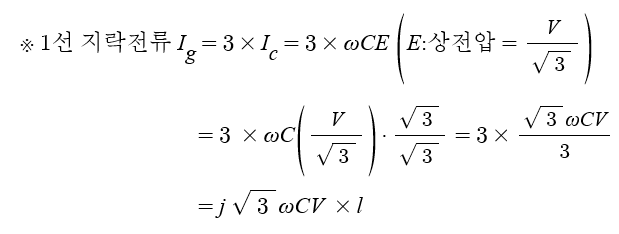
② 1선 지락고장시 고장점에 흐르는 전류 : Ig = 3 Ic = 3ωCE
③ 1선 지락고장시 지락점에 흐르는 전류 : 앞선전류( 고장상 전압보다 90˚ 진상 전류 )

※ 1선 지락사고가 발생하면 지락전류는 각 상의 정전용량을 통하여 변압기를 거쳐
지락점으로 흐르게 되어 지락전류는 충전전류의 3배가 된다.
※ 1선 지락전류 앞에 복소수 j가 붙는 것은 지락전류는 정전용량을 통하여 흐르게 되므로
고장상의 전압보다 90˚ 앞선 전류가 흐르게 되는데 이를 표시한 것이다.
④ 1선 지락고장시 고장전류를 계산에 사용되는 정전용량 (대지정전용량, 자기정전용량)
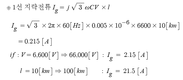
[전제조건] 선간 전압은 6,600[V] Cs = 0.005[μF/km], L : 10[km] f : 60[Hz]

※ 선간전압이 나오면 "√3", 상전압이 나오면 "3"이 된다.
▣ 비접지방식 즉, △결선 방식에서는 전압을 높이면 지락전류가 많아지고 거리가 길어도
지락전류가 많아지므로 위험하게 된다.
▣ 비접지 방식은 20~30[kV] 이하의 저전압, 단거리 송전선로에 사용된다.
우리나라에서는 3.3[kV], 6.6[kV], 22 [kV]에서 즉, 대부분 저전압 단거리에서 사용
되므로 일반적으로 1선 지락전류는 0.215[A] 정도로 1[A] 이하이다.
⑤ 비접지방식(△결선 방식)은 지락전류가 1[A] 미만으로 적다.
⑥ 비접지방식에서는 지락전류 검출이 어려워서 지락계전기 적용이 어렵고 통신선에
대한 유도장해가 적다.
▣ 비접지 방식은 지락전류가 작기 때문에 통신선 유도 장해가 적다.
⊙ 유도장해 ⇒ 영상전류 ⇒ 지락사고 ⇒ 지락전류
※ 통신선 유도장해는 영상전류가 발생시키고 영상전류는 지락사고시 지락전류에 의해
발생하므로 비접지 방식은 지락전류가 작아 통신선 유도장해가 작다.

※ 1선 지락사고가 발생하면 지락전류가 대지를 통해 중성점을 거쳐 지락지점으로
다시 흐르게 되는 폐회로가 형성되고 그 폐회로 안에 사람이 있게 되면 접촉전압에
감전사고가 발생할 수 있어 위험하게 된다.
이를 방지하기 위해 지락계전기를 설치하여 차단기가 동작하게 하고 있는데
비접지 방식의 경우에는 지락전류 Ig가 매우 작아 계전기의 동작이 어렵고 결국 차단기가
작동하지 않을 수 있다.

⑦ 1선 지락고장시 건전상의 대지전위 상승은 √3배로 크다.


※ 전압은 (V = I·R) 전류가 흐를 때만 전압이 걸린다.
따라서 전류가 증가하면 전압도 높아진다.
위 그림에서 보는 바와 같이 1선 지락사고시 대지전위가 13,200[V]에서 22,900[V]로
전위가 상승하게 되고 이로 인해 절연비용 많이 든다.
⑧ △ 결선방식에서는 1선 지락사고가 발생해도 2상의 변압기로 V결선을 하여 3상 전력을
공급할 수 있다.
다. 비접지식 1선 지락사고시 건전상 전위상승

※ 지락이 발생하지 않았을 때는 대지와 선간에 전류가 흐르지 않으므로 전위가 잡히지 않
다가 1선 지락사고가 발생하면 대지로 전류가 흐르게 되고 각상의 정전용량을 통하여
전류가 흐르게 되고 각 상의 충전전류는 고장점에 모이게 된다.
이 때 각상의 전압은 대지를 중성점으로 하여 연결되게 된다. a상은 a-a', b상은 b-b',
c상은 c-c'에 전압이 걸리게 된다.

위의 그림과 같이 1선 지락사고가 발생하면 고장난 c상은 전위가 "0"이 되고
이로 인해 중성점이 C상으로 옮기기 되므로 건전상의 전위도 변화가 발생한다.
따라서 건전상의 전위는 고장전 전위보다 √3배 상승하게 된다. 이는 1선 지락사고가
발생하면 각상의 충전전류가 지락점에 모이게 되어 전류가 많아지므로 전위도 높아지는
것과 맥락이 같다.
[비접지 방식의 특징]
① 비접지 방식의 결선방식은 △-△ 결선방식이다.
② 1선 지락전류

③ 1선지락전류는 고장상의 전압보다 90˚ 앞선 전류가 흐른다.
④ 비접지식 송전선의 정전용량은 Cs : 자기 정전용량, 대지정전용량이다.
⑤ 지락전류의 크기가 1[A]이하로 작다. 통신선 유도장해가 작다.
보호계전기의 작동이 곤란하다.
⑥ 비접지방식은 저전압, 단거리 송전선로에서 사용된다. 20~30[kV]이하
: 3.3 / 6.6 / 22 [kV]
⑦ 1선 지락고장시 건전상의 전위상승이 고장전의 √3배이다.
⑧ 1선 지락사고가 나도 2개의 변압기로 V결선하여 송전이 가능하다.
[기출문제 풀이]
[문제1] 송전선의 중성점을 접지하는 이유로 적절하지 못한 것은 ? ①
① 코로나 방지를 위하여
[문제 2] 송전선의 중성점을 접지하는 이유는 ?
④ 송전선의 이상전압 상승 방지
[문제3] 중성점 비접지 방식을 이용하는 것으로 적당한 것
④ 저전압 단거리 송전선로
[문제4] 중성점 비접지 방식이 이용되는 전압은 ? ③ 20~30[kV] 이하
[문제5] 비접지식 송전선로에서 지락고장이 생겼을 때 지락점에 흐르는 전류는 ?
① 고장상의 전압보다 90˚ 빠른 전류가 흐른다.
[문제6] 선간전압 V[V], 한선의 대지정전용량이 C인 비접지식 3상 1회선 송전선에
1선 지락사고가 발생했을 때 지락전류 산정식은 ?

[문제7] 6.6[kV] (※ 공칭전압이므로 선간전압이다), f=60[Hz]의 비접지식 송전선로,
10[km]에서 1선의 대지정전용량 Cs = 0.005[μF/km] 일 때 1선 지락사고시 고장
전류로 옳은 것은 ?

[문제8] 비접지식 3상 송배전계통에서 선로정수중 1선 지락 고장 전류를 계산하는데
사용되는 정전용량은 ? Cs : 대지정전용량, 자기 정전용량
[문제9] 중성점 비접지방식에서 가장 많이 사용되는 변압기 결선방식은 ?
△-△ 결선방식
[문제10] △ 결선의 3상 3선식 배전선로가 있다. 1선이 지락된 경우 건전상의 전위상승은
지락전의 몇 배가 되는가 ? √3배
[문제11] 비접지방식을 직접 접지방식과 비교한 것중 틀린 것은 ?
③ 보호계전기의 동작이 확실하다.
'전기인이 되는 길 > 전력공학' 카테고리의 다른 글
| 소호리액터 접지 (직접접지 특징과 정반대) (3) | 2021.09.03 |
|---|---|
| 직접접지 방식 - Y결선, 다중접지방식 등 (0) | 2021.09.03 |
| 평형3상(고장이 나지 않았을 때)인 경우 대칭분, 송전선의 고장계산과 대칭회로 (0) | 2021.09.02 |
| 대칭좌표법 - 벡터 연산자 "a" (2) | 2021.09.02 |
| 단락전류 관련 공식 및 문제 풀이, 단락전류(Is), 단락용량 [MVA] 산정 문제풀이 (0) | 2021.09.02 |
