【단락전류 관련 공식 및 문제풀이 】
1. 단락전류 계산 공식

2. 퍼센트 임피던스 (%Z) 계산 공식

3. 단락용량 (차단용량) 계산 공식

① Z [Ω] 임피던스가 오옴으로 주어졌을 때 %Z로 변환할 때 사용하는 공식이다.
② %Z ∝ Z %Z와 임피던스 Z는 비례관계에 있다.
③ P ∝ %Z 설비용량 P는 %Z와 비례관계에 있다.

4. 관련 기출 문제 풀이
문제 1. 단락전류는 다음중 어느 것을 말하는가 ? 뒤진전류
※ 송전선에서는 저항보다는 리액턴스 "L"가 훨씬 크므로 xL에 영향을 많이 받게 되므로
단락전류는 뒤진전류 (지상전류)가 흐른다.
문제 2. 송전선로에서 가장 많이 발생하는 사고는 ? 지락사고
문제3. 다음 중에서 옳은 것은 ? ②
① 터빈발전기의 %Z는 수차발전기의 %Z보다 작다.
※ 단락비 수차발전기 > 터빈발전기

② 전기기계가 %Z가 크면 차단기의 용량이 작아진다.

③ %Z 는 %x 보다 작다. %Z = %x + %R
④ 직렬리액터는 %Z를 작게 하는 기능이 있다.
문제4. 변압기의 %Z가 표준값보다 클 때 고려해야 하는 사항은 ?
%Z ↑ ∝ Z ↑ ⇒ 전압강하 ↑ ⇒ 전압변동율 ↑ : 전압변동율이 커진다.
문제 5. 수차발전기의 운전주파수를 상승시켰을 때 나타나는 현상은 ?
주파수는 리액턴스와 관련이 깊다. 주파수 f ↑ ⇒ xL ↑ ⇒ ωL ⇒ 2πfL
주파수가 높아지면 리액턴값이 커지고 리액턴스값이 커지면 결국 임피던스가
커지게 되며 임피던스가 커지면 전압강하가 많아지고 전압변동율이 커진다.
문제 6. 고장점에서 구한 전 임피던스를 Z, 고장점의 성형전압(상전압, Y전압)이
E일 때 단락전류를 구하는 식은 ?

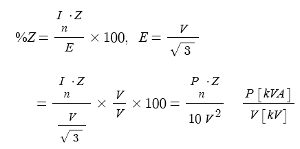
문제 7. 3상 송전선에서 임피던스를 Z [Ω], 선간전압을 V[kV], 변압기용량이 P[kVA]
일 때 %Z를 구하는 식은 ?

문제 8. 정격전압이 66[kV]이고 한선의 유도 리액턴스 x가 10[Ω]인 3상 3선식 송전선의
10,000[kVA]를 기준으로 한 %x는 ?

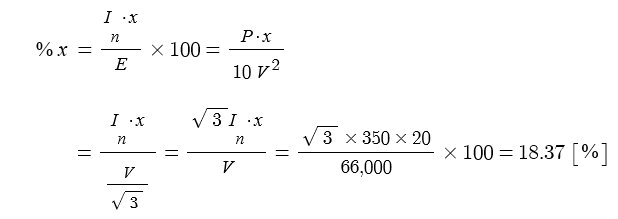
문제 9. 66[kV] 3상 1회선 송전선로의 한 선의 리액턴스 x가 20[Ω]이고 선간전류가 350
[A]일 경우 이 선로의 %x 는 ?

문제 10. 합성 퍼센트 임피던스가 0.4[%], 기준용량 P : 10,000[kVA]일 때, 발전소에
시설할 차단기에 필요한 차단용량은 몇 [MVA]인가 ?

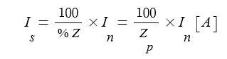
문제 11. 3상 회로에서 Y전압이 E, 정격전류가 In, %Z가 Zp일 때 단락전류 Is를 구하라?

문제 12. 용량이 20,000[kVA]이고 %Z가 8[%]인 3상 변압기가 2차측에서 3상 단락
되었을 때 단락용량은 몇 [kVA]인가 ?

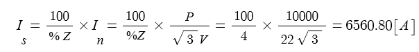
문제 13. 3상 3선식 전선로에 단락점에 있어서 단락전류를 구하면 ?
( 단, 22[kV]에 대한 %x가 4[%]라고 한다. %R는 무시한다. 기준용량은 10000
[kVA]이다.)

문제 14. 정격용량이 Pn[kVA], 2차 전압 V2n [kV], 퍼센트 임피던스가 Z[%]인
3상 변압기의 2차 단락전류를 구하면 ?

문제 15. 정격전압 7.23[kV]이고 정격차단용량이 250[MVA]인, 3상용 차단기의
정격차단전류는 몇 [kA]인가 ?

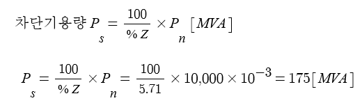
문제 16. 그림에서 A점의 차단기 용량으로 가장 적당한 것을 찾아라.

차단기 용량을 구하는 식은 위와 같이 구하는데
위 그림과 같은 경우 차단기 용량을 구하는 식은 다음의 절차에 따라 구하게 된다.
① 기준용량을 설정한다. : Pn : 10,000[kVA]를 기준용량으로 설정한다.
기준용량 설정은 어떤 것으로 해도 괜찮은데 계산하기 쉬운 값으로 선정한다.
② 선로나 기기의 %Z 임피던스를 기준용량에 맞추어 환산한다.

③ 고장점에서 전원측을 바라 보면서 %Z 를 합성한다
임피던스가 직렬연결인지 병렬연결인지를 구분하여 합성한다.

④ 단락전류를 계산한다.

⑤ 차단기 용량을 선정한다.

▣ 차단기 용량 ≥ 단락용량 이므로 한단계 높여 200[MVA]로 할 수 있다.
【 단락전류(Is), 단락용량 [MVA] 관련 문제 풀이 】
▣ 단락전류, 단락용량의 산정 관련 문제는 다음의 순서에 따라 문제를 푼다.
① 기준용량 선정 : 기기나 선로의 용량이 서로 다를 경우 먼저 기준용량을 선정한다.
② %Z(퍼센트 임피던스) 환산 : 기준용량에 맞게 다른 용량의 %Z를 환산한다.
③ %Z 합성 : 고장점을 기준으로 앞쪽으로 %Z를 합성하여 합산한다.
(이 때, 직렬연결인지, 병렬연결인지를 감안하여 합성한다)
%Z가 주어지지 않고 Ω으로 주어지는 경우 %Z를 산정하고 이 때 전압은
고장점의 전압을 기준으로 한다.
④ 단락전류를 계산한다.
⑤ 단락용량을 계산한다.
문제 1. 그림과 같은 154[kV] 송전계통의 F점에서 무부하시 3상 단락고장이 발생했을
경우 고장전력은 몇 [MVA]인가 ?
단, 발전기 G1 용량은 20[mVA], G2 용량은 30[MVA]이며 발전기의 %과도리액턴스
및 변압기 용량 50[MVA]의 %리액턴스는 각각 자기용량 기준으로 20, 20, 10[%]
이고 변압기에서 고장점 F까지의 선로리액턴스는 100[MVA]기준으로 5[%]이다.

① 기준용량을 정한다. 여기서는 100[MVA]를 기준으로 한다.
② %Z를 환산한다. 각각을 100[MVA]기준으로 %Z를 환산한다.

③ 고장점을 기준으로 앞쪽으로 %Z를 합성한다. (직렬, 병렬을 고려하여 합산)

④ 단락전류 [A]를 구해보자 : 이 문제와는 관련 없지만 연습삼아 구해 보자.

⑤ 단락용량 산정

문제2. 아래 그림에 표시하는 무부하 송전선에 S점에서 3상 단락이 발생하였을 때, 단락
전류[A]를 구하여라. 단, 발전기 G1은 15[MVA], %Z 30[%]이며 발전기 G2는
15[MVA], %Z는 30[%], 변압기 T는 30[MVA], %Z는 8[%]이고 송전전압은
11/154[kV]이며, 송전선 T에서 S까지의 거리는 50[km]이고 임피던스는 0.5[Ω/km]
이다.


① 기준용량을 선정한다. : 이 문제는 15[MVA]를 선정한다.
② %Z 를 환산한다. : 15[MVA]를 기준으로 환산한다.

③ %Z 를 합성하여 산정한다.
%Z = 30 / 2 + 4 + 1.58 = 20.58 [%]
④ 단락전류를 계산한다.

문제 3. 아래 그림의 F점에서 3상 단락고장이 생겼다. 발전기 쪽에서 본 3상 단락전류는
몇 [kA]인가 ? 단, 154[kV]의 송전선의 리액턴스는 1000[MVA]를 기준으로
2[%/km] 이다.

① 기준용량을 선정한다. : 500[MVA]를 기준으로 한다.
② %Z 를 환산한다. : 500[MVA]를 기준으로 환산한다.
G1 : 25[%], Tr : 15 [%]

③ %Z를 합산한다.
%ZT = 25 + 15 + 20 = 60 [%]
④ 단락전류를 계산한다.

※ 발전기에서 본 단락전류를 계산하므로 정격전류를 구할 때 전압은 발전기의
송전전압을 기준으로 산정한다.
'전기인이 되는 길 > 전력공학' 카테고리의 다른 글
| 평형3상(고장이 나지 않았을 때)인 경우 대칭분, 송전선의 고장계산과 대칭회로 (0) | 2021.09.02 |
|---|---|
| 대칭좌표법 - 벡터 연산자 "a" (2) | 2021.09.02 |
| 3상 단락전류 계산 - 오옴[Ω]법, 퍼센트임피던스법(%Z) (0) | 2021.09.02 |
| 콘덴서 부속기기 (직병렬콘덴서, 직렬리액터, 방전코일) (0) | 2021.09.01 |
| 조상설비의 종류와 특징, 조상설비 관련 문제풀이 (0) | 2021.09.01 |
