【 평형 3상 (고장이 나지 않았을 때)인 경우 대칭분 】

▣ 고장이 나지 않았을 때는 3상 전류는 크기는 같고 위상이 120˚ 차이가 나는
평형 3상 전류가 흐르게 된다.
▣ 이를 벡터 연산자로 표현하면 Vc = a × Va가 되고 Vb = a2 × Va가 된다.
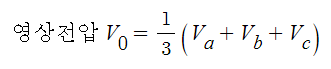
이제 영상전압(전류), 역상전압(전류), 정상전압(전류)를 벡터연산자 a로 표현해 보자.



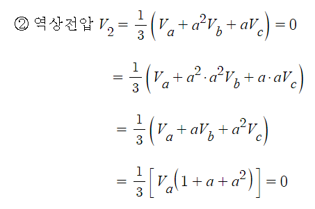
※ 결과적으로 평형상태에서는 V0 = V2 = 0 이므로 영상분과 역상분은 존재하지
않는다.
※ 사고유형별 고장전류 발생현황

○ : 존재한다. × : 존재하지 않는다.

지락사고시에는 Ig 에는 영상분, 정상분, 역상분의 전류가 포함되어 있고
선간단락 I0에는 정상분과 역상분 전류만 포함되어 있고
3상 단락 I0에는 정상분 전류만 포함되어 있다.
1. 1선 및 2선 지락사고 대칭분 성분
① 영상분 + 정상분 + 역상분 모두 존재
★ ② 지락사고 전류에는 반드시 영상분이 포함되어 있다.

※ 통신선 유도 장해는 영상분 전류에서만 발생하고 영상분이 포함되었다면
지락사고가 발생했다는 의미이다.


⑤ a상에 지락사고가 발생했을 때 지락전류를 나타내는 식은 ?

2. 선간단락 사고 대칭분 성분

3. 3상 단락 사고 대칭분 성분

예제 1) 다음 표에서 옳은 것은 ?
※ 송전선은 회전력(정상분 =0), 제동력(역상분=0)이 없다.
송전선은 정지기기 취급을 한다.
정답 : ② 정상임피던스는 역상임피던스와 같다.
예제 2) 역상전류를 각 상의 전류로 바르게 표시한 것은 ?

예제 3) 불평형 3상 전압을 Va, Vb, Vc라 하고 a 벡터가 주어졌을 때 영상전압은 ?

예제 4) 평형 3상 보통의 운전상태에서 중성점 전위는 ?

이론상으로는 중성점에서 V = 0이고 대지전압 V0 = 0 이므로
지락전류가 흐르지 않는데 그러면 접지를 안한 상태가 돼 버린다.
그러나 실제상황에서는 중성점 전위 V ≠ 0 이므로 접지전류가 흐른다.
정답 : 중성점 전위 V ≠ 0
예제5) a, b, c 상의 전류를 Ia, Ib, Ic라고 할 때

예제 6) 다음 그림의 ★ 부분에 흐르는 전류는 ?

※ 접지 = 지락 = 영상
영상전류 I0
예제 7) 3상 송전선로에서 선간단락이 발생하였을 때 옳은 것은 ?
③ 정상분 전류와 역상분 전류가 흐른다.
예제 8) 송전선로에서 고장전류를 계산하는 식은 ?
정답 : 1선 접지 = 지락 = 영상
예제9) 3상 단락고장을 대칭좌표로 해석할 때 필요한 것은 ?
① 정상임피던스
예제 10) 3상 단락사고가 발생한 경우 다음중 옳지 않은 것은 ?
3상 단락은 정상분만 존재한다. ③ I1 = I2 = 0
예제11) 3상 동기발전기 단자에서 고장전류 계산식은 ?
I0 = I1 = I2 ⇒ 1선 지락사고
예제12) 3상 교류발전기의 운전중에 2선이 단락되었을 때 발생하는 현상중
옳은 것은 ?
③ 단락상의 전압은 개방상의 단자전압의 1/2이다.
예제13) 그림과 같은 3상 발전기가 있다. a상이 지락되었을 때의
지락전류는 ?

【 송전선의 고장계산과 대칭회로 】
1. 영상분 회로
▣ 영상회로는 : 영상전류가 흐를 수 있는 범위내의 회로이다.
정상(역상) 정상(역상)
▣ 영상임피던스 : 영상전류가 흐를 수 있는 범위내에 존재하는 임피던스이다.
【영상회로】
가. 영상전류 (= 동상전류)
▣ 영상전류(=동상전류)는 제3고조파와 같은 것으로 보고 해석한다.
제3고조파(3의 배수 고조파)는 위상이 같다.
① △ 결선
▣ 영상전류는 △결선내에서만 순환할 뿐 선간으로 빠져 나오지 않는다.


※ 상전류가 동상이면 Ia = 0가 된다.
그러므로 위상차가 나지 않는 전류 또는 3의 배수 고조파는 선상에 흐르지 않는다.
※ 위상차가 있을 때만 선상에 전류가 흐르게 된다.
② Y 결선
▣ Y결선에서 회로 범위와 임피던스 범위에 대하여 알아 보자.

⊙ 정상분 Ia, Ib, Ic 를 흘려보내서 어디 까지 흐르는지 그 범위를 본다.
정상분은 선(線)에서 상(象)까지만 흐르고 (크기는 같고 위상차가 120˚ 나므로 3상이
모이는 중성점에서는 전류가 "0"이 된다) 접지선에는 흐르지 않는다.
⊙ 역상분 Ia, Ib, Ic 를 흘려보내서 어디 까지 흐르는지 그 범위를 본다.
역상분은 선(線)에서 상(象)까지만 흐르고 (크기는 같고 위상차가 120˚ 나므로 3상이
모이는 중성점에서는 전류가 "0"이 된다) 접지선에는 흐르지 않는다.
[영상전류 (동상전류)]

영상전류 : 단상전류 (위상차가 없는 전류)
▣ 대칭 3상인 정상전류나 역상전류는 중성점에 모이면 전류의 합이 "0"이 되지만
영상전류는 동상전류로 "0"이 되지 않고 중성점에는 영상전류의 3배의 전류가
흐른다.
▣ 단상전류는 동상전류로 선로가 형성되지 않으면 절대로 전류가 흐를 수 없다.
(3상 전류는 위상차가 있기 때문에 Y결선에도 중성점까지 흐를 수 있다)
이 때, 단상전류가 Y결선에 흐를 수 있게 해 주려면 반드시 중성점에 접지를 해 주어야만
동상전류가 흐를 수 있다.
⊙ 영상회로 범위 : 선간 + 상 + 접지
※ 영상회로는 중성점에 접지를 하면 선간, 상, 중성점 접지선을 통해 대지까지 흐른다.
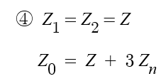
영상임피던스 Z0 = Z + 3Zn

【 Y결선 요약 정리 】
① Z1 = Z2 = Z, Z1 = □, Z2 = △ (x)
Zn = (x)
※ Y결선에서는 정상분과 역상분은 중성점까지만 전류가 흐르므로 임피던스드
정상분과 역상분은 상 임피던스만 있고 접지임피던스는 없다.
② Z0 = Z + 3 Zn
※ Y결선에서 영상임피던스는 접지를 한 경우에 상임피던스에 3배의 접지 임피던스가
된다.
【 영상전류의 존재 범위】

※ 영상전류는 △ 결선에서는 △결선 내에서만 흐르고 Y결선의 경우 중성점 접지가 된
경우 선간, 상, 접지선까지 모든 곳에 영상전류가 흐르고 중성점 접지가 되지 않은
경우에는 폐회로(선로가 형성되지 않아)가 없어 영상전류가 전혀 흐르지 않는다.
문제 1) 3상 송전선로에 변압기가 그림과 같이 Y-△로 결선되어 있고 1차측에는 중성점에
접지가 되어 있다. 이 경우, 영상전류가 흐른 곳은 ?

※ 2차측 선로에는 흐르지 않는다.
③ 1차측 선로와 접지선, △결선 회로내부에 흐른다.
문제 2) 송전계통에 한 부분이 그림과 같이 3상 변압기를 1차측에 △로, 2차측은 Y로
중성점이 접지된 경우 1차측에 흐르는 영상전류는 ?

② 1차측의 선로에는 영상전류가 "0" 이다.
문제 3) 그림과 같이 3권선 변압기 2차측에 1선 지락사고가 발생했을 때 영상전류가
흐르는 범위는 ?

정답 : 2차측 선로 및 △ 결선 내
문제 4) 그림과 같은 회뢰의 영상, 정상, 역상 임피던스 Z0, Z1, Z2를 구하라.


문제 5) 그림과 같은 회로의 영상임피던스는 ?

영상임피던스 Z0 = Z + 3 Zn
문제 6) 그림과 같은 회로에서 정상·역상 임피던스는 ?

Z1 = Z2 = Z
'전기인이 되는 길 > 전력공학' 카테고리의 다른 글
| 직접접지 방식 - Y결선, 다중접지방식 등 (0) | 2021.09.03 |
|---|---|
| 비접지 방식 (△결선)의 특징 (0) | 2021.09.03 |
| 대칭좌표법 - 벡터 연산자 "a" (2) | 2021.09.02 |
| 단락전류 관련 공식 및 문제 풀이, 단락전류(Is), 단락용량 [MVA] 산정 문제풀이 (0) | 2021.09.02 |
| 3상 단락전류 계산 - 오옴[Ω]법, 퍼센트임피던스법(%Z) (0) | 2021.09.02 |
