1. 배전선계통에서 콘덴서를 설치하는 주된 목적은 ?
① 전압강하 보상 (x) ② 전력손실 감소 (O)

※ 배선계통에 병렬 콘덴서를 설치하는 주된 목적은 역률개선이나
역률 개선을 통해 전력손실을 감소시킬 수 있으므로 정답은
차선으로 전력손실 감소로 한다.
2. 부하의 역률를 감소시키는 주된 원인은 ?
▣ 유도전동기의 경부하 운전
※ 유도전동기의 주요 구성요소는 코일이므로 경부하 운전은 전동기만
홀로 운전하는 것이므로 코일에 의하여 유도성 리액턴스가 발생하여
역률이 저하하게 된다.
3. 불평형 부하의 역률은 ?
※ 우리가 사용하는 대부분의 부하는 불평형 부하이다.

4. 부하 P[kW]이고 그의 역률이 cosΘ1인 것을 cosΘ2로 개선하기 위해서는 전력용 콘덴
서 용량이 몇 [kVA]가 필요한가?

5. 배전선로의 역률개선에 대한 효과로 틀린 것은 ? ④
① 전압강하 감소 ② 전기요금 저감 ③ 선로의 전력손실 감소 ④ 선로절연비용감소
6. 300[kW], 역률 80[%] 부하에 전력을 공급하고 있는 변전소에 콘덴서를 설치하여 변
전소에 있어서의 역률을 90[%]로 향상하는데 필요한 콘덴서 용량은 몇 [kVA]인가 ?

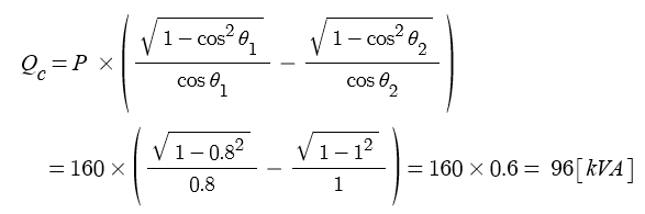
7. 3상 배전선로 말단에 지상역률 80[%], 160[kW]의 평형 3상 부하가 있다. 부하와
병렬로 전력용 콘덴서를 접속하여 선로손실을 최소화하려면 전력용 콘덴서는 몇[kVA]
가 필요한가? (단, 여기서 부하단 전압은 변하지 않는다.)

8. 부하의 선간전압이 3,300[V] 이고 피상전력이 330[kVA], 역률 0.7인 3상 부하가 있
다. 부하의 역률을 0.85로 개선하는데 필요한 콘덴서 용량은 몇 [kVA]인가 ?

9. 피상전력이 P[kVA], 부하역률이 cosΘ인 부하를 역률 100[%]로 개선하기 위한
전력용 콘덴서 용량은 몇 [kVA]가 필요한가 ?

10. 정격용량 300[kVA]이며 늦은 역률 70[%]인 변압기 부하에 300[kVA]를 공급하고
있다. 합성 역률을 90[%]로 개선하여 이 변압기의 전용량에서 공급하려 할 때 이 때
증가할 수 있는 부하용량은 몇 [kW]인가 ?

P=Pa × cosΘ = 300×0.9 - 300×0.7 = 270 - 210 = 80[kW]
11. 역률이 0.8인 부하 480[kW]를 공급하는 변전소에 전력용 콘덴서 220[kVA]를 설치
하면 역률이 몇 [%]로 개선되는가 ?

12. 역률 80[%], 설비용량 10,000[kVA] 부하를 갖는 변전소가 있다. 2000[kVA] 용량
의 콘덴서를 설치하여 역률을 개선하였을 때, 변압기에 걸리는 부하는 몇 [kW]인가 ?

13. 역률 80[%] 설비용량 10[kVA]의 주상변압기가 있다. 2차측에 2[kVA]의 전력용 콘덴서를 접속하면
주상 변압기에 걸리는 부하는 약 몇 [kVA]인가 ?

14. 한대의 주상변압기에 역률이 cosΘ1 유효전력 P1 부하와 역률이 cosΘ2 유효전력 P2 부하가
병렬로 접속되어 있는 경우 주상변압기에 걸리는 피상전력은 얼마인가 ?

15. 한대의 주상변압기에 역률이 cosΘ1 유효전력 P1 부하와 역률이 cosΘ2 유효전력 P2 부하가
병렬로 접속되어 있을 때 주상변압기 2차측에서 본 부하의 종합역률은 ?

16. 3상의 같은 전원에 접속되는 경우 △결선의 콘덴서를 Y결선으로 바꾸면 진상용량이
몇배로 되는가 ?

'전기인이 되는 길 > 전력공학' 카테고리의 다른 글
| 콘덴서 부속기기 (직병렬콘덴서, 직렬리액터, 방전코일) (0) | 2021.09.01 |
|---|---|
| 조상설비의 종류와 특징, 조상설비 관련 문제풀이 (0) | 2021.09.01 |
| 조상설비 - 역률 : 전력공학 (0) | 2021.09.01 |
| 중거리 송전선로 관련 문제 풀이 (0) | 2021.09.01 |
| 중거리 송전선로와 선로정수 (0) | 2021.08.31 |
