
제1장 소방수리학
1. 유체의 종류
|
유체의 종류
|
내 용
|
|
실제 유체
|
점성이 있으며 압축성인 유체
|
|
이상 유체
|
점성이 없으며 비압축성인 유체
|
|
압축성 유체
|
기체와 같이 체적이 변화하는 유체
|
|
비압축성 유체
|
액체와 같이 체적이 변화하지 않는 유체
|
[초스피드] 실점있압 (실점이 있는 사람만 압박해!), 기압(기압)
※ 유체 : 외부 또는 내부로 부터 어떤 힘이 작용하면 움직이려는 성질을 가진 액체와 기체 상태의 물질
2. 열량 : Q = rm + mCΔT
여기서, Q : 열량 [cal], r : 융해열 또는 기화열 [cal/g], m : 질량 [g]
C : 비열 [cal/g · ℃], ΔT : 온도차 [℃]
※ 비열 : 1g의 물질을 1℃ 만큼 온도를 상승시키는데 필요한 열량 [cal]
3. 유체의 단위 [다 시험에 잘 나온다]
① 1N = 105 dyne
② 1N = 1㎏·m/s2
③ 1dyne = 1g·㎝/s2
④ 1Joule = 1N·m
⑤ 1㎏f = 9.8N = 9.8㎏·m/s2
⑥ 1P(poise) = 1g/㎝·s =1dyne · s / ㎠
⑦ 1cP = (centipoise) = 0.1 g/㎝ · s
⑧ 1stokes(St) = 1㎠/s
⑨ 1atm = 760 ㎜Hg = 1.0332㎏f/㎠
= 10.332 mH2O (mAq)/㎠
= 14.7PSI (1bf/in2)
= 101.325 kPa (kN/㎡)
= 1,013mbar
4. 체적탄성계수

여기서, K : 체적탄성계수 [Pa]
ΔV : 체적의 변화 (체적의 차) [㎥]
ΔP : 가해진 압력 [Pa]
V : 처음의 체적 [㎥]
ΔV/V : 체적의 감소율
[압축률]

여기서, β : 압축률 [1/Pa]
K : 체적탄성계수 [Pa]
※ 체적탄성계수
① 등온압축 : K = P
② 단열압축 : K = kP
여기서, K : 체적탄성계수 [Pa]
P : 절대압력 [Pa]
k : 단열계수
5. 절대압 [꼭 알아야 한다]
① 절대압 = 대기압 + 게이지압 (계기압)
② 절대압 = 대기압 - 진공압
[초스피드] 절대게 (절대로 개입하지 마라)
절대-진 (절대로 마이너지진이 남지 않는다)
※ 절대압 : 안전진공을 기준으로 한 압력 [기억법 : 절진(절전)]
※ 게이지압(계기압) : 국소대기압을 기준으로 한 압력
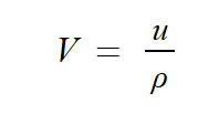
6. 동점성 계수 (동점도)

여기서, V : 동점도 (㎠/s]
u : 일반점도 [g/㎝·s]
ρ : 밀도 [g/㎤]
※ 동점도 : 유체의 저항을 측정하기 위한 절대점도의 값
7. 비중량
γ = ρ g
여기서, γ : 비중량 [N/㎥]
ρ : 밀도 [㎏/㎥]
g : 중력가속도 [9.8 m/s]
① 물의 비중량
1gf/㎤ = 1,000㎏f/㎥ = 9.8 kN/㎥
② 물의 밀도
ρ = 1g/㎤ = 1,000㎏/㎥ = 1,000 N·s2/m4 = 102㎏f · s2/m4
※ 비체적 : 단위질량당 체적
8. 이상기체상태방정식

여기서, P : 압력[atm], V : 부피 [㎥], n : 물수 [w/M]
R : 기체 상수 0.082 [atm · ㎥ / kmol · T]
w : 질량 [㎏], M : 분자량, ρ : 밀도 [㎏/㎥]
※ 몰수 : n = w/M
여기서, n : 몰수, w : 질량[㎏], M : 분자량
9. 물체의 무게
중량 : W = γ · V
여기서, W : 물체의 무게 [N, ㎏f], γ : 비중량 [N/㎥, ㎏f/㎥],
V : 부피(물체가 잠긴 체적) [㎥]
[초스피드] 무비체 (무비카메라를 가진 사람을 체포하라!)
10. 열역학의 법칙 (이 내용들이 환하면 그대는 '열역학' 박사)
|
열역학 제0법칙
(열평형의 법칙)
|
온도가 높은 물체와 낮은 물체를 접촉시키면 온도가 높은 물체에서
낮은 물체로 열이 이동하여 두 물체의 온도가 평형을 이루게 된다.
|
|
열역학 제1법칙
(에너지보존법칙)
|
기체의 공급에너지는 내부에너지와 외부에서 한 일의 합과 같다.
|
|
열역학 제2법칙
|
① 자발적인 변화는 비가역적이다.
② 열은 스스로 저온에서 고온으로 절대로 흐르지 않는다.
③ 열을 완전히 일로 바꿀 수 있는 열기관을 만들 수 없다.
|
|
열역학 제3법칙
|
순수한 물질이 1atm에서 결정상태이면 엔트로피는 OK에서 0이다.
|
[초스피드] 열1내 (열받으면 일낸다)
열비 저고2 (열이나 비에 강한 저고리)
※ 비가역적 : 어떤 물질에 열을 가한 후 식히면 다시 원래의 상태로 되돌아 오지 않는 것
11. 엔트로피 (ΔS)
|
가역 단열과정
|
비가역 단열과정
|
|
ΔS = 0
|
ΔS > 0
|
※ 등엔트로피과정 = 가역 단열과정
[초스피드] 가0 (가영이)
※ 엔트로피 : 어떤 물질의 정렬상태를 나타내는 수치
12. 유량

여기서, Q : 유량[㎥/s], A : 단면적[㎡], V : 유속 [m/s], D : 직경(지름)[m]
※ 유량 : 관 내를 흘러가는 유체의 양
13. 베르누이 방정식 (Bernoulli's equation)

여기서, v : 유속 [m/s], P : 압력 [kN/㎡] 또는 [kPa], Z : 높이 [m]
g : 중력가속도 [9.8 m/s2], γ : 비중량 [kN/㎥]
※ 베르누이 방정식에 의해 2개의 공 사이에 기류를 불어 넣으면 (속도가 증가하여) 압력이 감소하므로 2개의 공은 달라 붙는다.
※ 베르누이 방정식의 적용 조건
① 정상흐름 ② 비압축성 흐름 ③ 비점성 흐름 ④ 이상유체
[기억법] 베정비이 (배를 정비해서 이곳을 떠나라)
14. 토리첼리의 식 (Torricelli's theorem)

여기서, v : 유속 [m/s], g : 중력가속도 ( 9.8 [m/s2]), H : 높이 [m]
15. 파스칼의 원리 (Principle of Pascal)

여기서, F1, F2 : 가해진 힘 [N, ㎏f], A1, A2 : 단면적 [㎡]
P1, P2 : 압력 [Pa] 또는 [N/㎡]
※ 수압기 : 파스칼의 원리를 이용한 대표적 기계 [ 파수(파수꾼)]
16. 레이놀즈수 (Reynolds number) (잊지 말라!)
|
구 분
|
레이놀즈 수
|
|
층류
|
Re < 2,100
|
|
천이영역 (임계영역)
|
2,100 < Re < 4,000
|
|
난류
|
Re > 4,000
|

여기서, Re : 레이놀즈수, D : 내경[m], V : 유속 [m/s], ρ : 밀도 [㎏/㎥]
μ : 점도 [g/㎝·s], ν : 동점성계수(μ/ρ) [㎠/s]
※ 레이놀즈수 : 층류와 난류를 구분하기 위한 계수

17. 관마찰계수

여기서, f : 관마찰계수, Re : 레이놀즈 수
|
구 분
|
내 용
|
|
층류
|
레이놀즈수에만 관계되는 계수
|
|
천이영역 (임계영역)
|
레이놀즈수와 관의 상대조도에 관계되는 계수
|
|
난류
|
관의 상대조도에 무관한 계수
|
18. 다르시-바이스바하 공식 (Darcy-Weisbach's formula)

여기서, H : 마찰손 [m], ΔP : 압력차[kPa] 또는 [kN/㎡]
γ : 비중량 (물의 비중량 9.8 [kN/㎡], f : 관마찰계수, l : 길이 [m]
v : 유속 [m/s], g : 중력가속도 ( 9.8 [m/s2]), D : 내경 [m]
※ 다르시 - 바이스바하 공식 : 곧고 긴 관에서 손실수두 계산
19. 수력반경

여기서, Rh : 수력반경 [m], A : 단면적 [㎡], l : 집수길이 [m]
D : 관의 외경 [m], d : 관의 내경 [m]
※ 수력반경 : 면적을 집수길이 (둘레길이)로 나눈 것
20. 무차원의 물리적 의미 (마르고 닳도록 보라!)
|
명 칭
|
물리적 의미
|
|
레이놀즈 (Reynolds)
|
관성력 / 점성력
|
|
프루드 (Froude)수
|
관성력 / 중력
|
|
마하 (Mach)수
|
관상력 / 탄성력
|
|
웨버 (Weber)수
|
관성력 / 표면장력
|
|
오일러 (Euler)수
|
압축력 / 관성력
|
[초스피드] 웨관표 (왜관행 표)
※ 무차원 : 단위가 없는 것
21. 유체 계측기기
|
정압측정
|
동압(유속) 측정
|
유량 측정
|
|
① 피에조미터
② 정압관
|
① 피토관
② 피토 - 정압관
③ 시차액주계
④ 열선속도계
|
① 벤투리미터
② 위어
③ 로터미터
④ 오리피스
|
[초스피드] 조정(조정), 속토시 열 (속이 따뜻한 토시는 열이 난다)
벤위로 오량 (벤치 위로 오양이 보인다)
※ 위어의 종류 : ① V-notch 위어 ② 4각 위어 ③ 예봉위어 ④ 광봉위어
22. 시차 액주계

여기서, PA : 점 A에서 압력 [kPa] 또는 [kN/㎡], PB : 점 B에서 압력 [kPa] 또는 [kN/㎡]
γ1, γ2, γ3 : 비중량 (물의 비중량 9.8 [kN])
h1, h2, h3 : 높이 [m]

※ 시차액주계의 압력계산 방법 : 경계면에서 내려올 때 더하고, 올라갈 때 뺀다.
※ 시차액주계 : 유속 및 두지점의 압력을 측정하는 장치
23. 펌프의 동력

여기서, P : 출력 [HP], Q : 유량 [㎥/min], H : 전양정 [m], k : 전당계수, η : 효율
※ 단위 : ① HP = 0.746 [kW] ② PS = 0.735 [kW]
※ 펌프의 동력
① 전동력 : 전달계수와 효율을 모두 고려한 동력
② 축동력 : 전달계수를 고려하지 않은 동력 [초스피드] 축전 (축전)
③ 수동력 : 전달계수와 효율을 고려하지 않은 동력
[초스피드] 효전수 : 효를 전수해 주세요
24. 원심펌프
|
벌류트 펌프
|
터빈 펌프
|
|
안내깃이 없고, 저양정에 적합한 펌프
|
안내깃이 있고, 고양정에 적합한 펌프
|
[초스피드] 저벌 (저벌판)
※ 원심펌프 : 소화용수펌프 [초스피드] 소원 (소원)
※ 안내날개 : 임펠러의 바깥쪽에 설치되어 있으며, 임펠러에서 얻은 물의 속도에너지를 압력에너지로 변환시키는 역할을 한다.
※ 펌프 : 전동기로 부터 에너지를 받아 액체 또는 기체를 수송하는 장치
25. 펌프의 운전
가. 직렬운전 나. 병렬운전

① 토출량 : Q ① 토출량 : 2Q
② 양정 : 2H(출력 : 2P) ② 양정 : H (출력 : P)
[초스피드] 정2직 (정이 든 직장)
26. 공동현상 (정말 잊지 말라)
가. 공동현상의 발생 현상
① 펌프의 성능 저하
② 관부식
③ 임펠러의 손상 (수차의 날개 손상)
④ 소음과 진동 발생
[초스피드] 공성부임소 (공하성이 부임한다는 소리를 들었다)
※ 공동현상
㉠ 소화펌프의 흡입고가 클 때 발생
㉡ 펌프의 흡입측 배관 내의 물의 정압이 기존의 증기압 보다 낮아져서 물이 흡입되지 않는 현상
나. 공동현상의 방지대책
① 펌프의 흡입수두를 작게 한다.
② 펌프의 마찰손실을 작게 한다.
③ 펌프의 임펠러 속도 (회전수)를 작게 한다.
④ 펌프의 설치위치를 수원보다 낮게 한다.
⑤ 양흡입 펌프를 사용한다. (펌프의 흡입측을 가압한다)
⑥ 관내의 물의 정압을 그 때의 증기압 보다 높게 한다.
⑦ 흡입관의 구경을 크게 한다.
⑧ 펌프를 2대 이상 설치한다.
27. 수격작용의 방지대책
① 관로의 관경을 크게 한다.
② 관로내의 유속을 낮게 한다 (관로에서 일부 고압수를 방출한다)
③ 조압수조 (Surge tank)를 설치하여 적정압력을 유지한다.
④ 플라이 휠 (Fly wheel)을 설치한다.
⑤ 펌프의 송출구 가까이에 밸브를 설치한다.
⑥ 에어 챔버 (Air chamber)를 설치한다.
[초스피드] 수방관크 유낮 (소방관은 크고, 유부남은 작다)
※ 수격작용 : 흐르는 물을 갑자기 정지시킬 때 수압이 급상승하는 현상
제2장 약제화학
28. 산소농도
|
공기중의 산소농도
|
소화에 필요한 공기 중의 산소농도
|
|
21 vol%
|
10 ~ 15 vol% (16 vol% 이하)
|
※ 공기의 구성성분 : ① 산소 : 21% ② 질소 : 78% ③ 아르곤 : 1%
29. 연소의 3요소
① 가연물질 (연료) ② 산소공급원 (산소) ③ 점화원 (온도)
[초스피드] 연3 가산점 (연소의 3요소를 알면 가산점을 준다)
※ 연소 : 가연물이 공기 중의 산소와 반응하여 열과 빛을 동반하여 산화하는 현상
30. 공기포(기계포) 소화약제의 특징 (자다가도 말할 수 있어야 한다)
|
약제의 종류
|
특 징
|
|
단백포
|
① 흑갈색이다.
② 냄새가 지독하다.
③ 포안정제로서 제1철염으로 첨가한다.
④ 다른 포약제에 비해 부식성이 크다.
|
|
수성막포
|
① 안정성이 종아 장기보관이 가능하다.
② 내약품성이 좋아 타약제와 겸용 사용이 가능하다.
③ 석유류 표면에 신속한 피막을 형성하여 유류증발을 억제한다.
④ 일명 AFFF (Aqueous Film Forming Foam)라고 한다.
⑤ 표면장력 · 점성이 작기 때문에 가연성 기름의 표면에서 쉽게 피막을 형성한다.
|
|
내알코올형포
|
① 알코올류 위험물 (메탄올)의 소화에 사용
② 수용성 유류화재 (아세트알데하이드, 에스테르류)에 사용
③ 가연성 액체에 사용
|
|
합성계면
활성포
|
① 고팽창포 (1%, 1.5%, 2%형)
② 유동성이 좋다.
③ 카바이드 저장소에는 부적합하다.
|
[초스피드] 수표점작 (수표점유율이 작년과 같다)
※ 점성 : 물질의 끈끈한 성질
※ 표면장력 : 액체표면에 있는 분자가 표면에 접선인 방향으로 끌어당기는 힘
31. 팽창비
|
저발포
|
고발포
|
|
20배 이하
|
① 제1종 기계포 : 80 ~ 250배 미만
② 제2종 기계포 : 250 ~ 500배 미만
③ 제3종 기계포 : 500~ 1,000배 미만
|
[초스피드] 저2 (저이가 누구래요?) 고81
32. 포소화약제의 혼합장치
가. 프레져 프로포셔너 방식 (차압혼합방식)
① 가압송수관 도중에 공기포소화 원액혼합조(P.F.T)와 혼합기를 접속하여 사용하는 방법
② 격막방식 휩탱크를 사용하는 에어휨 혼합방식
나. 라인 프로포셔너 방식 (관로혼합방식)
① 펌프와 발포기의 중간에 설치된 벤투리관의 벤투리작용에 의하여 포소화약제를 혼입 · 혼합하는 방식
② 급수관의 배관 도중에 흡입기를 설치하여 그 흡입관에서 포소화약제를 혼입 · 혼합하는 방식
[초스피드] 라벤 (라벤더 향)
다. 프레져 사이드 프로포셔너 방식 (압입혼합방식)
① 소화원액 가압펌프(압입용 펌프)를 별도로 사용하는 방식
② 펌프 토출관에 압입기를 설치하여 포소화약제 압입용 펌프로 포소화약제를 압입시켜 혼합하는 방식
[초스피드] 프사압 (프랑스의 압력)
라. 펌프 프로포셔너 방식
마. 압축공기포 믹싱챔버방식
※ 혼합장치의 종류 : ① 차압혼합방식 ② 관로혼합방식 ③ 압입혼합방식 ④ 펌프혼합방식
33. 기체의 용해도
① 온도가 일정할 때 압력이 증가하면 용해도는 증가한다.
② 온도가 낮고 압력이 높을수록 (저온 · 고압) 용해되기 쉽다.
※ 용해도 : 용액 100g 중에 기체(액체)가 녹는 비율
34. 할론소화약제
① 부촉매 효과가 우수하다.
② 금속에 대한 부식성이 적다.
③ 전기절연성이 우수하다. (전기의 불량도체이다)
④ 인체에 대한 독성이 있다. (할론 1301은 할론 중 독성이 가장 적다)
⑤ 가연성 액체화재에 대해 소화속도가 빠르다.
35. 할론소화약제의 약칭 및 분자식
|
종 류
|
약 칭
|
분자식
|
|
Halon 1011
|
CB
|
CH2ClBr
|
|
Halon 104
|
CTC
|
CCl4
|
|
Halon 1211
|
BCF
|
CF2ClBr
|
|
Halon 1301
|
BTM
|
CF3Br
|
|
Halon 24021
|
FB
|
C2F4Br2
|

[초스피드] 할탄불염브 (할머니! 탄불에 염색약 뿌렸어?)
※ 할론원소 : ① 불소 F ② 염소 ③ 브롬(취소) Br ④ 요오드(옥소) I
※ 브롬 (Br) : '취소'라고도 부른다.
36. 상온 · 상압하에서의 소화약제 상태
|
기체상태
|
약체상태
|
|
① 할론 1211
② 할론 1301
|
① 할론 1011
② 할론 104
③ 할론 2402
④ CO2
|
[초스피드] 2기할3 (비둘기 할머니 삼삼해)
※ 상온 : 평상시의 온도 (20~25℃)
※ 상압 : 평상시 압력 - 표준대기압
35. 충전가스
|
질소(N2)
|
이산화탄소(CO2)
|
|
분말소화설비, 할론소화설비
|
기타설비비
|
[초스피드] 질충분할 (질소가 충분할 것)
36. 제3종 분말의 소화작용
① 열분해에 의한 냉각작용
② 발생한 불연성 가스에 의한 질식작용
③ 메타인산(HPO3)에 의한 방진작용 : A급 화재에 적응
④ 유리된 NH4+의 부촉매 작용
⑤ 분말운무에 의한 열방사의 차단효괴
[초스피드] 메A (메아리)
※ 입자 크기 (입도) :: 20~25㎛의 입자로 미세도의 분포가 골고루 되어 있어야 한다.
※ 방진작용 : 가연물의 표면에 부착되어 차단을 나타내는 것
※ 부촉매 효과 : '연소억제작용'이라고도 부른다.
#수리학 #유체역학 #탄성계수 #점성 #비중량 #엔트로피 #베르누이 #열역학 #토리첼리
#파스칼 #마찰계수 #액주계 #시차액주계 #펌프 #공동현상 #캐비테이션 #기계포
#할론 #차압혼합방식 #압입혼합방식 #분말소화약제
'소방시설관리사 > 소방수리학 · 약제화학 및 소방전기' 카테고리의 다른 글
| 소방수리학 · 약제화학 및 소방전기 - 2 (3) | 2026.01.18 |
|---|---|
| 자기 모멘트 (magnetic moment)란 무엇일까 ? (5) | 2026.01.17 |
| 엔탈피, 에너지, 축일에 대하여 (4) | 2026.01.16 |
| 엔트로피 (Entropy)란 무엇인가 ? (6) | 2026.01.11 |
