▣ 변압기는 전압을 변동시키는 전기기기이다.
송전선로에서 전압을 승압하거나 강압하는 기기이다.

발전기와 변압기의 시설용량은 피상전력 단위인 [VA]을 사용한다.
수용가에서 소비하는 유효전력 [W]을 공급해 주기 위해서는 실제 사용하지 않지만
전력계통에 존재하는 무효전력 [Var]을 함께 공급해 주어야 하기 때문이다.
단상변압기를 통해 전력공급 방식은 다음과 같다.
① 3대 : △결선 - 1대 고장시 V결선으로 3상 전력 공급이 가능하다.
Y결선 - 1대 고장시 역 V결선으로 공급가능하지만 3상전력 공급은 불가하다.
② 2대 : V결선 - 3상공급 가능
역V결선 - 3상 공급이 불가하다.
③ 4대 : △ 결선으로 3상 전력을 공급하다가 부하가 증가할 경우에는 변압기 2대씩을
묶어 V결선으로 전력 공급 : 2 Bank × V결선
※ Bank : 변압기 또는 콘덴서의 결선상의 단위
▣ △ 결선방법에 대하여 알아 보자.

왼쪽 그림을 보면 1, 2, 3, 4, 5, 6번 단자가 있다.
2,3번 단자을 묶고, 4,5번 단자를 묶고, 6,1번 단자가 묶여 있다.
오른쪽 그림을 보면 왼쪽과 같이 2,3번, 4,5번, 1,6번을 결선하면
△ 결선이 완성된다.
【△결선의 특징】
⊙ 제3고조파가 △결선내에 순환하므로 기전력의 파형이 왜곡되지 않는다.
⊙ 통신선의 유도장해가 없다.
⊙ 선전류가 상전류의 √3배 이므로 대전류에 적합하다.
⊙ 1대 고장시 2대로 V결선하여 3상 전력공급이 가능하다.
⊙ 중성점 접지를 할 수 없어 이상전압이 크다.
⊙ 고전압에 불리하다.
△결선 : 선전압 = 상전압, 선전류 = √3상전류
▣ V 결선방법에 대하여 알아 보자.
⊙ 아래 그림을 보며 V결선에 대하여 알아 보자.

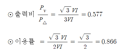
△ 결선의 한상이 고장이 났을 때, 나머지 2대의 변압기를 이용하여 V결선하여
3상 전력을 공급한다. △ 결선의 공급전력은 3 VI이고 V결선의 공급전력은
√3 VI이다.
아래 그림을 보며 V결선 방법에 대하여 알아 보자.

V결선은 △결선을 사용하다가 한상이 고장이 났을 때 채용하는 방식으로
△결선 방식과 같으나 한상이 제거 된 것이다.
그림에서 2,3번 단자만 묶고 1,4번 단자는 그대로 빼면 된다.

▣ Y 결선방법에 대하여 알아 보자.
⊙ 아래 그림을 보며 Y결선에 대하여 알아 보자.

Y결선은 A, B, C상의 한쪽을 모두 결선하여 중성선을 빼고
각 상의 한쪽으로 그대로 방법을 결선하면 된다.
【Y결선의 장점】
⊙ 중성점 접지가 가능하여 이상전압을 방지할 수 있다.
⊙ 고전압에 유리하다. (선간전압 = √3상전압)
⊙ 상전압이 선간전압의 1/√3 배로 낮아져 절연에 유리하다.
⊙ 1대 고장시 역 V결선이 가능하다.
【Y결선의 단점】
⊙ 중성점 접지시 3고조파로 인한 통신선에 유도장해가 발생한다.
▣ 역V 결선방법에 대하여 알아 보자.
⊙ 아래 그림을 보며 역V결선에 대하여 알아 보자.

⊙ 역V결선은 Y결선으로 사용하다가 한상이 고장났을 때 결선하는 방법으로
역V결선은 3상전력을 공급할 수 없다는 단점이 있다.
결선방법은 Y결선 방법과 같이 2상의 한쪽을 묶어 결선하고 나머지 선들은
그대로 빼면 된다.
【변압기 1,2차 결선방법】
⊙ 변압기의 결선방법에는 다음과 같은 방법이 있다.
1차 2차 1차 2차
△결선 △결선 Y결선 Y결선
△(저전압) Y결선(고전압) Y결선(고전압) △(저전압)
⊙ △ - Y 결선 : 승압용, Y - △결선 : 강압용
⊙ △ - Y, Y - △결선의 특징
① 한쪽에 중성점 접지가 가능해져 이상전압을 방지할 수 있다.
② 한쪽 △결선에서 제3고조파가 순환하므로 유도장해를 방지할 수 있다.
③ 1,2차 선간전압에 30˚의 위상차가 발생한다.
▣ 스코트결선(T좌 결선)에 대하여 알아 보자.
⊙ 아래 그림을 보며 스코트결선 T좌 결선에 대하여 알아 보자.

⊙ 스코트 결선은 3상에서 2상 전력을 공급할 때 사용한다.
1차, 2차 2상 변압기 위상이 서로 다른 단상 2개 변압기를 사용한다.
◎ 스코트 결선 (T 결선 : 동일한 단상 변압기 2대를 사용한다. 권수비가 같다)
◎ 메이어 결선
◎ 우드브리지 결선이 있다.
T : T좌 변압기
M : 주좌변압기
탭C의 위치 ⇒ T좌 변압기의 1차 전체 권선의 √3/2 지점
T좌 변압기의 권수비

'전기인이 되는 길 > 전기기기' 카테고리의 다른 글
| 권선형 유도전동기의 특징과 '기동법'이 필요없는 이유 (0) | 2021.10.22 |
|---|---|
| 변압기의 병렬운전 (2) | 2021.10.21 |
| 무부하, 단락시험과 단락비의 의미 (0) | 2021.10.21 |
| 동기발전기 (동기기)의 전기자 반작용 (2) | 2021.10.20 |
| 변압기의 원리, 권수비, 등가회로 (2) | 2021.10.16 |
