
1. 전력과 전력량
가. 전력
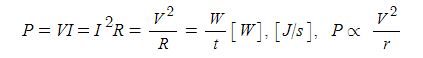
▣ 단위시간(1s) 동안 전기장치에 공급되는 전기에너지. 기호 P, 단위 : [W]

여기서, P : 전력[W], V : 전압[V], I : 전류[A], R : 저항 [Ω], W = 일 [J], t : 시간[sec]
나. 전력량
▣ 전기장치가 일정시간(sec) 동안 한 일의 양. 즉, 일이 누적된 값
기호 W, 단위는 [W·sec, J] (와트초, 줄)
⊙ 전력량 W = VIt =I2Rt = Pt [J], [W·s], [kWh]
여기서, W : 전력량[J], P : 전력 [W], V : 전압[V], I : 전류[A], t : 시간[s], R : 저항[Ω]
다. 전력과 전력량의 비교
① 전력은 마력[HP]으로 환산가능하나 전력량은 환산 불가능함
② 전력량은 열량 [cal]로 환산가능하나 전력은 환산 불가능함
2. 줄의 법칙 (전류의 발열작용)
▣ 저항에 전류를 흘려 주면 열에너지가 발생하고, 이 열량은 전류의 제곱에 비례한다.
가. 열량

여기서, H : 발열량 [cal], V : 전압[V], I : 전류[A], R : 저항[Ω], t : 시간[s]
나. 전열기의 용량

여기서, P : 용량 [W], η : 효율, t : 소요시간[h], M : 질량[㎏=ℓ],
T2 : 상승후 온도[℃], T1 : 상승전 온도 [℃]
3. 열전기 현상
가. 제어벡 효과 (Seeback effect)
▣ 서로 다른 두 금속 (구리-콘스탄탄)을 접속하고 접속점에 열을 가하면 기전력이 발생하여 전류가 흐르는 현상을
말한다. 이 때 발생하는 기전력을 열기전력이라 한다. 열기전력을 측정하여 온도로 환산하는 열전대 온도계는
공업용으로 널리 이용되고 있다.
또한 고온에서 극저온까지 온도계측용 열전대가 개발되고 있다. 세가지의 열전현상중에서 전기를 생산할 수 있는
것은 제어백 효과 뿐이다.
나. 펠티에 효과 (Peltier effect)
▣ 서로 다른 금속이나 반도체(비스무트-안티몬)의 양쪽 끝을 접합하여 전류를 흘려주면 전류에 의해 발생하는
줄열 이외도 금속의 각 접점에서 발열 또는 흡열 작용이 일어나는 현상을 말한다. 한 쪽은 열이 발생하고
다른 쪽은 열을 빼앗기는 현상을 이용하여 냉각과 가열을 할 수 있으며 이런 특성을 이용하여 소형 냉장고나
전자 냉열장치에 이용한다.
다. 톰슨효과 (Thomson effect)
▣ 같은 종류의 도체이면서 부분적으로 온도가 다른 금속에 전류를 흐르게 하면 온도가 바뀌는 부분에서 발열과
흡열이 일어나는 현상이다. 이는 제어백 효과와 펠티에효과의 가역성을 열역할적으로 이론화한 것이다.
라. 기타 현상
① 홀 효과 (Hall effect) : 전류가 흐르고 있는 도체에 외부에서 자계를 가하면 도체 측면에 정(+), 부(-)의 전하가 나타나
두 면간에 전위차가 발생하는 현상
② #압전현상 (Piezo effect) : 로셀염 등의 결정에 압력을 가하면 전압이 발생하는데 이를 압전효과라 하며 이와 반대로
전압을 주면 결정체가 변형을 일으키는 현상을 압전 역효과라고 한다.
③ 핀치효과 (Pinch effect) : 전류가 도선 중심으로 흐르려고 하는 현상
【출제예상문제】
1. 1000[W]의 전열기를 정격상태에서 10분간 사용한 경우 발열량은 몇 [㎉]인가 ? ④
① 216 ② 200 ③ 152 ④ 144
[해설] 발열량 H=0.24Pt=0.24×1000×10×60=144,000[cal]=144[kWh]
2. 저항이 있는 도체에 전류를 흘리면 열이 발생하는 법칙은 ? ③
① 옴의 법칙 ② 플레밍의 법칙 ③ 줄의 법칙 ④ 키르히호프의 법칙
[해설] 줄의 법칙 : 어떤 도체에 일정시간동안 전류를 흘리면 도체에는 열이 발생되는데
이에 대한 법칙. 저항이 있는 도체에 전류를 흘리면 열이 발생되는 법칙
3. #정격 600[W] 전열기에 정격전압의 80[%]를 인가하면 전력은 몇 [W]인가 ? ①
① 384 [W] ② 486 [W] ③ 545 [W] ④ 614 [W]
[해설]

4. 10[kΩ] 저항의 허용전력은 10[kW]라 한다. 이 때의 허용전류는 몇 [A]인가 ?
① 100 [A] ② 10 [A] ③ 1 [A] ④ 0.1[A]
[해설]

5. 동일 금속에 온도구배가 있을 경우 여기에 전류를 흘리면 열을 흡수 또는 발생하는 현상을 무엇이라 하는가 ? ②
① 제어백효과 ② 톰슨효과 ③ 펠티에 효과 ④ 홀효과
[해설] #톰슨효과(Thomson effect) : 균질의 철사에 온도구배가 있을 때 여기에 전류가 흐르면 열의 흡수 또는 발생이
일어나는 현상
6. 전류가 흐르고 있는 도체에 자계를 가하면 도체 측면에는 정·부의 전하가 나타나 두 면 간의 전위차가 발생하는
현상은 ? ①
① #홀효과 ② 톰슨효과 ③ 핀치효과 ④ 제어백효과
[해설] #홀효과 (Hall effect) : 도체에 자계를 가하면 전위차가 발생하는 현상
7. 다른 종류의 금속선으로 된 폐회로에서 두 접합점의 온도차에 의하여 기전력이 발생하는 효과는 ? ②
① #펠티에 효과 ② #제어백효과 ③ #톰슨효과 ④ #핀치효과
[해설] 제어백효과 (seeback effect) : 서로 다른 2개의 금속을 접속하여 접합부에 온도차를 주면 기전력이 발생하는 현상
8. 다음 설명중 옳지 않은 것은 ? ②
① #전력은 전력량과 다르다. ② 전력량은 마력으로 환산한다.
③ 전력량은 칼로리 단위로 환산한다. ④ 전력은 칼로리 단위로 환산할 수 없다.
[해설] 전력과 전력량 : 전력량은 마력으로 환산할 수 없고 전력을 마력으로 환산할 수 있다.
9. 100[V]로 250[W]의 전력을 소비하는 전열기가 있다. 이 전열기를 80[V]로 사용하면 소비전력은 몇 [W]인가 ? ①
① 160 ② 180 ③ 200 ④ 220
[해설] 소비전력 P = V2/R , P ∝ V2

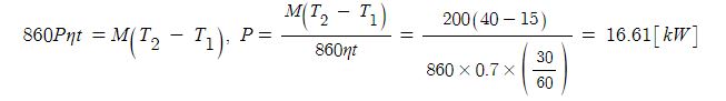
10. 15[℃]의 물 200[ℓ]가 있다. 이 물을 30분 동안 40[℃]로 높이기 위하여 필요한 전열기 용량은 몇 [kW]인가 ?
(단 발열량의 70[%]가 유효한 발열이라고 한다)
① 16.6 ② 2.3 ③ 40.3 ④ 54.0
[해설] 860Pηt = m(T2 - T1)

11. 100,000[㎈]의 열량을 전력량으로 환산하면 약 몇 [kWh]인가 ? ①
① 0.116 ② 1.16 ③ 116 ④ 1160
[해설] 단위의 환산 : 1kwh = 860 ㎉, 1 : 860 = x : 100 x = 100/860 = 0.116[kWh]
12. 200[V], 60[W]의 전등 2개를 매일 5시간씩 점등하고, 600[W]의 전열기 1개를 매일 1시간씩 사용할 경우
1개월(30일)의 소비전력량은 몇 [kWh]인가 ? ②
① 18 ② 36 ③ 180 ④ 360
[해설] # 소비전력량 산정 : W=Pt =(60×2×5×30)+(600×1×30)=36,000[W]=36[kWh]

'소방설비기사 (전기) > 소방전기일반' 카테고리의 다른 글
| 전류의 화학작용과 전지 - 축전지 (3) | 2023.01.28 |
|---|---|
| 전기저항, 고유저항 - 소방전기 일반 (0) | 2023.01.28 |
| 휘트스톤브리지 평형, 키르히호프 법칙, 배율기, 분류기 (0) | 2023.01.25 |
| 옴의 법칙 - 직류회로 2 (2) | 2023.01.24 |
| 직류회로 - 소방전기 (0) | 2023.01.24 |
