배관 이송 설비
1. 층류와 난류
가. 층류
① 평균 유속에 정비례한다.
② 흐름이 닿은 벽면의 조도에 거의 관계 없다.
③ 유체의 점성계수 (μ)에 정비례하므로 온도에 의해 많은 영향을 받는다.
나. 난류
① 평균 유속의 약 2제곱에 비례한다.
② 흐름에 접하는 벽면의 조도에 의해서 크게 다르다.
③ 유체의 점성계수 (μ)에 영향을 받으나 층류의 경우처럼 심하지는 않다.
2. 레이놀즈의 수
▣ 레이놀즈는 실험을 통하여 층류, 난류의 구분이 속도 (U)에 의해서만 결정되는 것이 아니고 유체의 점성계수(μ), 밀도
(ρ), 관의 관경 (d)에도 관계됨을 알았다. 이들 변수에 의한 무차원함수를 정의하였는데
이 함수를 레이놀즈수 (Re)라 부르며, 이에 대한 일반식은 다음과 같다.

여기서, ρ : 유체의 밀도, U : 유체의 특성속도, L : 특성길이
μ : 유체의 점성계수, v : 유체의 동점성계수
▣ 무차원수인 Re가 작을 때의 흐름은 층류이며, Re가 커지면 난류로 변하는데
이 때의 천이점의 Re를 임계 Reynolds 수 (Critical Reynold's number) Rec라고 한다.
3. 바이스바흐 - 달시 (Weisbach - Darcy)의 식
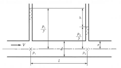
▣ 다음 그림과 같은 내경 d인 관로속을 평균 유속 V로 유체가 흐르고 있을 때 임의의 거리 l 만큼 떨어진
두 점의 압력을 p1, p2라 하면 유체의 마찰에 의한 압력손실 hL은 다음 식으로 표시된다.

▣ 바이스바흐 - 달시의 유체마찰손실

이를 Weisbach-Darcy 의 식이라 부르고, λ를 관 마찰계수라 부른다.
4. 관 마찰계수의 실용식
▣ 보통의 철관 등에 있어서는 관벽 돌기의 간격이 다르거나, 또는 작은 돌기 사이에 큰 것들이 섞여 있는
경우가 많기 때문에 관마찰계수는 다음 Mises의 실험식으로 구한다.

▣ Scobey의 실험식은 다음과 같다.

여기서, d의 단위는 m이고, 콘크리트관에 적용하며, 정수 c의 값은 다음과 같다.
⊙ 내면이 매끈한 콘크리트관 : c = 0.156
⊙ 연결된 콘크리트관으로서 수년간 사용한 것 : c = 0.218
⊙ 특히 조심성 없이 연결된 관 : c = 0.029
5. 원관(둥근관) 이외의 관 마찰
▣ 단면이 원형이 아닌 관의 관마찰을 생각할 경우에는 관의 단면적을 A, 그 단면의 젖은 길이를 lw, 관의
길이 l 사이의 압력손실을 △p, 관 단면의 평균유속을 V라 하고, 흐름은 관측과 평행인 것으로 생각하여
관벽의 평균 횡응력 τ 를

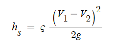
6. 관로의 부차적 손실
▣ 관로에 사용되는 밸브(valve), 엘보 (elbow), 유니온 (union) 등의 부속품이나 단면의 변화, 곡관 (bend pipe) 등에
의하여 생기는 손실을 부차적 손실 (minor loss)이라고 한다.
▣ 이것은 긴 관로일 때는 대체로 무시할 수 있으나, 짧은 관로에서는 관마찰손실과 함께 중요하고 미치는 영향을 무시할
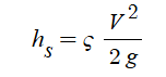
수 없다. 일반적으로 부차적 손실수두는 다음과 같은 식으로 나타낸다.

v는 수두손실이 생기는 곳의 영향을 받지 않는 단면에 있어서의 평균유속이고, 손실이 생기는 곳의 전후에
평균유속이 변화할 대 일반적으로 큰 쪽의 유속을 사용한다.
가. 관로가 급히 넓어질 때 (급확대관)
▣ Borda - Carnot의 수두 손실


나. 관로가 급속히 좁아질 때 (급속축소관)

다. 밸브(valve)와 콕(cock)에 의한 손실
▣ 관로 속의 유량 또는 흐름의 방향을 제어 (control)하기 위하여 각종 밸브가 사용되는데, 그 손실수두는 밸브가 달린
부분에서 흐름의 단면적이 변화하기 때문에 생기며, 그 크기는

으로 표시된다. 단, V는 관로 속에서 밸브의 영향을 받지 않는 곳에서의 평균유속이다.
① 슬루스 밸브 (sluice valve) : 슬루스 밸브에 있어서는 주로 밸브 선단의 직후에 있어서 흐름의 단면적이 급속히 확대됨
으로 인하여 수두손실이 생긴다.

② 글로브 밸브 (globe valve) : 다음 그림의 글로브 밸브에 있어서도 x/d1이 커질수록 ζ는 작아지지만 완전히 열었을 때
도 ζ는 6 ~ 8의 값을 가진다.

③ 너비 너트 밸브 (Butterfly valve) : 이 밸브에 있어서는 밸브만의 경사각 θ 가 커지면 밸브 직후의 단면적의 급증이
현저해져서 손실계수 ζ가 커진다.
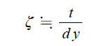
원형 나비 너트 밸브에서 θ = 0 일 때는 다음과 같다.

이다. 단, t, dy는 밸브 원관 (둥근관)의 두께와 지름이다.

④ 콕 (cock) : 콕에 있어서도 각 θ 의 증가와 함께 흐름의 단면적의 변화가 현저해지고, 손실계수 ζ 는 커진다.

#층류 #난류 #레이놀즈수 #다르시 #달시 #바이스바흐 #마찰계수 #손실수두 #버터플라이 #글로브밸브
#콕 #점성계수 #동점성계수